HOME Prise de donnees MML Controle commande Simulations Notes Hardware Ligne X Laser Interaction Diagnostiques Synchronisation
Commissionning Commissionning Preparation Pannes ShiftCheck
  Toutes les notes concernant les Commissionning de ThomX, Page 56 of 61  Not logged in ThomX    logo
New entries since:Thu Jan 1 01:00:00 1970
ID Date Author Status Type Category Important Subject Icon
  113   Tue Oct 12 09:55:52 2021 Entered by sophie chance from 134.158.195.142 on Tue Oct 12 09:55:39 2021FixedLinacLinac Commissionning Anoxie 

Le problème d'Anoxie est réglé

  112   Tue Oct 12 09:46:33 2021 Entered by sophie chance from 134.158.195.142 on Tue Oct 12 09:46:20 2021FixedLinacSY Tests coupure signaux timing 

Sur un enregistrement de 70 000 s , il n'y a aucun coup manqué sur le timing linac avec une sdev = 11 ms

  111   Tue Oct 12 09:44:23 2021 Entered by sophie chance from 134.158.195.142 on Tue Oct 12 09:44:10 2021Under ProcessLinacLinac Commissionning Anoxie 

Ce matin, le capteur d'anoxie est à nouveau en panne, Harold va intervenir

Le modulateur est en chauffe

  110   Mon Oct 11 18:04:35 2021 Entered by Super Team from 134.158.195.142 on Mon Oct 11 18:04:10 2021FixedOtherLinac Commissionning Arrêt faisceau 
  109   Mon Oct 11 17:22:59 2021 Entered by Super Team from 134.158.195.142 on Mon Oct 11 17:22:46 2021Under ProcessLinacLinac Commissionning Mise en route du faisceau 

Faisceau très instable, pas de bobines pour l'instant (fausse manip, col01 s'est éteinte et l'atk de col02 ne démarre pas), phase = 91 degres sur interface phase, charge max à la louche, sterrer STR01 H01 à -0.9A et str01 v01 à 0.3A

  108   Mon Oct 11 17:10:20 2021 Entered by Super Team from 134.158.195.142 on Mon Oct 11 17:10:07 2021Under ProcessLinacLinac Commissionning Mise en route du faisceau 

Nous avons du faisceau, il est désaligné, l'atk panel de col02 est en rade, réglage des BPMs en cours.

  107   Mon Oct 11 13:46:11 2021 Entered by Super Team from 134.158.195.142 on Mon Oct 11 13:45:53 2021Under ProcessOtherLinac Commissionning Travaux 

Travaux en cours à l'extérieur, le goudron sur le chemin a été enlevé, une pelleteuse bloque le passage vers ThomX, le passage est possible mais difficile

  106   Mon Oct 11 13:40:31 2021 Entered by SC from 134.158.195.142 on Mon Oct 11 13:40:14 2021Under ProcessLinacLinac Commissionning Image vide sur IHM sans laser sans RF 

Capture du vide sur l'IHM RF shutter photocathode fermé sur MPS et pas d'autorisation de RF

Attachment 1: vide_sans_laser_sans_rf.png
vide_sans_laser_sans_rf.png
  105   Mon Oct 11 13:33:04 2021 Entered by from 134.158.195.142 on Mon Oct 11 13:32:51 2021FixedLinacLinac Commissionning alignement laser 

Le laser est maintenant aligné et fourni 50 uJ

Mais nous avons toujours l'alarme IGLEX qui nous empêche de faire de la HF

  104   Mon Oct 11 11:13:58 2021 Entered by HG et SC from 134.158.195.142 on Mon Oct 11 11:13:35 2021Under ProcessLinacLinac Commissionning Laser 

L'alarme n'affecte pas le travail sur le laser. Ce travail est en cours.

  103   Mon Oct 11 11:09:35 2021 Entered by SC, HG et MO from 134.158.195.142 on Mon Oct 11 11:09:19 2021Under ProcessProblemLinac Commissionning Alarme anoxie 

Démarrage ce matin, SC, MO et HG. AM pour les BPMs, VS pour le laser, ME pour le commissioning et EG pour l'alignement

Ce matin, lors du démarrage modulateur, le PSS ne fonctionnait pas, le bouton rouge IGLEX clignote.

Il y a una alarme anoxie mais pas du côté ThomX mais du côté Andromède.

Le SPR a été prévenu ainsi que l'UDIL, qui devrait intervenir dans la journée pour enlever l'alarme.

Tant que l'alarme est là, nous ne pouvons pas faire de faisceau.

  102   Sat Oct 9 11:27:09 2021 Entered by Christelle Bruni from 82.64.20.144 on Sat Oct 9 11:26:55 2021FixedShift summaryLinac Commissionning Bilan du 8 octobre 

Bilan (cf. Ficher attaché pour les figures)

-Modulateur/RF
-Interlock modulateur est à nouveau survenu cette semaine
-Corrélé avec le fonctionnement des pompes ?
-Faisceau
-Lundi :
-alignement laser, problème d’interlock vide, 1e-6 (PP1 5e-5mbar)
-ouverture du shutter en fin d’après midi, recherche de la phase et visualisation du faisceau sur le premier écran
-Test des alims
-Mardi
-Réglage des ICT
-Montée progressive du champ solénoides
-Mercredi
-Première  estimation énergie avec le steerer en sortie linac : 4-4.5 MeV
-Mise en service de la section LIL
-Vérification des puissances RF sur chaque équipement
-Faisceau visualisé sur l’ICT sortie section et sur l’écran sortie section à estimation énergie 37 MeV
-Jeudi
-Reprise des procédures d’alignement du faisceau
-Premier scan charge/phase
- Scan automatisé le de la mesure d’énergie à pas finie
-Vendredi :
-Mesure du pointé du laser 0.5-0.7mm (important)
-Tests à 1Hz, plus stable à 130-250 um à tests systématiques à faire, capotage ?
-HF canon jusqu’à 0.75dB

-Pilotage à distance / acquisition

Amélioration (interlock, profibus, rafraichissement vide) ?
IHM alim n’update plus le courant relu
Difficultés arrêt et redémarrage des alims
Entrée elog, préciser personnes impliquées dans la journée, date, objectif
Faire 1 dossier par jour et y mettre les données
 
Semaine prochaine
Faisceau
Objectifs : alignement de la tête de machine en faisceau, mise en service des BPM pour aider à cet objectif, optimiser la transmission et l’alignement dans la section, augmenter l’énergie finale (moteur du déphaseur)
Lundi : Sophie /Maher
Mardi : Sophie /Maher
Mercredi : Hayg/Maher
Jeudi/vendredi : Maher, intervention éléments pulsés
Rappel : Interruption pour éléments pulsés (salle ouverte) les jeudi/vendredi 14/15/21/22 octobre
Co-activité laser FP possible ?
Co-activité travaux sous sols ?
Chassis profibus immobilisé pour sauvegarde jeudi et vendredi

Attachment 1: bilan_08102021.pptx
  101   Fri Oct 8 16:59:37 2021 Entered by HG, SC et MO from 134.158.195.142 on Fri Oct 8 16:59:22 2021Under ProcessLinacLinac Commissionning BPMs 

Travail sur les BPMs en cours

  100   Fri Oct 8 16:11:31 2021 Entered by HG, SC, MO from 134.158.195.142 on Fri Oct 8 16:11:15 2021FixedLinacLinac Commissionning Faisceau et scan charge phase 

Mise en route du faisceau.

Les paramètres RFs canon utilisés sont attenuation : 0.75 dB, Pic = 156 mV, HT = 1050.

Les solenoïdes sont à 0 A.

Scan charge phase, deux claquages sont apparus qui se voient bien sur le scan.

Attachment 1: charge_phase.jpg
charge_phase.jpg
  99   Fri Oct 8 13:57:16 2021 Entered by Super Team from 134.158.195.142 on Fri Oct 8 13:57:02 2021Under ProcessLinacLinac Commissionning HF et solénoïdes 

Pas d'interlock avec un Pic de 156 mV, bobine de contre champs à 60A et bobines de focalisation à 200A

  98   Fri Oct 8 13:00:02 2021 Entered by Super Team from 134.158.195.142 on Fri Oct 8 12:59:49 2021Under ProcessLinacLinac Commissionning Mesures en cours 

Ne pas toucher les IHMs!

  97   Fri Oct 8 11:12:14 2021 Entered by Super Team from 134.158.195.142 on Fri Oct 8 11:11:59 2021Under ProcessLinacLinac Commissionning Mesure de l'erreur sur le pointé laser 

Nous avons mesuré l'erreur sur le pointé laser ce matin, après démarrage.

Sur 200s, l'erreur mesurée sur le pointé est de 430 um rms environ dans les deux dimensions

De nouvelles données seront prises dans la journée pour regarder l'évolution

Passage du laser à 10 Hz, la stabilité est meilleure, erreur de 134 um rms

Passage à 1 Hz, mesure erreur à 145 um rms, chiffres à manier avec précaution

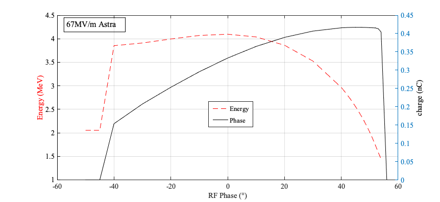
  96   Thu Oct 7 17:33:03 2021 Entered by Super Team from 134.158.195.142 on Thu Oct 7 17:32:50 2021FixedLinacLinac Commissionning Mesure energie steerer 

Image de départ prise à 17h33 sur LI/SST1 soleni col2=150A

Energie cinétique 3.6 MeV mesurée (image ci contre)

A comparer avec la mesure wattmetre de crete et cristaux

D'après les cristaux, 155mV de Pic correspond à 5.7MW, soit 84 MV/m --> soit une énergie attendue de 5.14 MeV

La mesure du wattmètre de crete donne 3.6 MW sur la voie canon (avec atténuation de 1.25dB), soit 67MV/m, soit 4.1 MeV (simulation ci contre). Une différence de 15% de puissance RF subsiste aussi entre cette mesure et la mesure de l'énergie

Conclusion : les mesures au watt mètre de crete sont plus proches de la mesure de l'énergie faisceau. L'énergie faisceau reste toutefois inférieure à ce que l'on est supposé attendre avec cette puissance RF.

 

 

Attachment 1: Esteerer_07102021_canon.png
Esteerer_07102021_canon.png
Attachment 2: Charge_phase_energy_astra67MV.png
Charge_phase_energy_astra67MV.png
  95   Thu Oct 7 17:12:58 2021 Entered by Hayg Guler from 134.158.195.141 on Thu Oct 7 17:12:27 2021FixedLinacLinac Commissionning Scan charge phase 

Scan charge phase : ajustement avec les deux déphaseurs, phase shift du laser à 82 ps.

Il faut bien penser à cliquer sur enable phase shift à chaque modification.

Scan effectué à partir de l'intégrale des signaux bruts.

 

Attachment 1: charge_phase.jpg
charge_phase.jpg
Attachment 2: Untitled.ipynb
{
 "cells": [
  {
   "cell_type": "code",
   "execution_count": 4,
   "metadata": {},
   "outputs": [],
   "source": [
    "from tango import DeviceProxy\n",
    "import pandas as pd\n",
    "import time\n",
    "    \n",
    "ds_WC1 = DeviceProxy('er/ca/rac.05-elr.01-wac.01')\n",
    "ds_phase = DeviceProxy('ER/HF/RAC.17-API.AO1')"
   ]
  },
  {
   "cell_type": "code",
   "execution_count": 37,
   "metadata": {},
   "outputs": [],
   "source": [
    "df = pd.DataFrame(columns=('phaseRF', 'Ch0_Amp', 'Ch0_Q', 'Ch0_Q_integrate'))\n",
    "\n",
    "\n",
    "Nstep = 200\n",
    "phase_min = 0"
   ]
  },
  {
   "cell_type": "code",
   "execution_count": 38,
   "metadata": {
    "scrolled": true
   },
   "outputs": [
    {
     "name": "stdout",
     "output_type": "stream",
     "text": [
      "0 0 2.432374966144562 -0.14132937416434288 -3.3059886693954468\n",
      "1 2 2.4857499837875365 -0.12169499881565571 -3.680608630180359\n",
      "2 4 2.4705000281333924 -0.11180156152695417 -3.293094301223755\n",
      "3 6 2.394249975681305 -0.15227125063538552 -3.2094500422477723\n",
      "4 8 2.3484999775886535 -0.14182500019669533 -3.682776665687561\n",
      "5 10 2.2112499594688417 -0.1303493745625019 -3.281777262687683\n",
      "6 12 2.4171249985694887 -0.14598062597215175 -3.230061209201813\n",
      "7 14 2.340874981880188 -0.12316281199455262 -3.165648567676544\n",
      "8 16 2.3103749632835386 -0.1385081261396408 -2.423606014251709\n",
      "9 18 2.4933749556541445 -0.10484374957159162 -2.961382877826691\n",
      "10 20 2.584874987602234 -0.111267813667655 -3.310334098339081\n",
      "11 22 2.424749970436096 -0.10547281373001169 -3.454663038253784\n",
      "12 24 2.4476250052452087 -0.10955218728631735 -3.9498404264450073\n",
      "13 26 2.6916250467300413 -0.08667718630749732 -3.5692740201950075\n",
      "14 28 2.531499981880188 -0.10450062490999698 -3.043243479728699\n",
      "15 30 2.4399999737739564 -0.12487843669950963 -3.45466548204422\n",
      "16 32 2.1959999799728394 -0.12787125073373318 -3.353472089767456\n",
      "17 34 2.386625051498413 -0.15019343942403793 -3.563729876279831\n",
      "18 36 2.394249975681305 -0.09649437493644655 -2.6489030599594114\n",
      "19 38 2.562000000476837 -0.11525187306106091 -4.319384622573852\n",
      "20 40 2.424749970436096 -0.13675437681376934 -3.6834739685058593\n",
      "21 42 2.3484999775886535 -0.12720406278967858 -3.3274911880493163\n",
      "22 44 2.5162500023841856 -0.13359000030905008 -3.2864468097686768\n",
      "23 46 2.516249966621399 -0.11058156378567219 -3.6966060400009155\n",
      "24 48 2.378999984264374 -0.11098187528550625 -3.2852214097976686\n",
      "25 50 2.218874979019165 -0.1583521854132414 -4.030306673049926\n",
      "26 52 2.249374973773956 -0.14169156238203867 -3.862242317199707\n",
      "27 54 2.5238750100135805 -0.1268037497997284 -3.840145301818848\n",
      "28 56 2.1959999680519102 -0.10718843676149845 -3.4017024636268616\n",
      "29 58 2.394249963760376 -0.140700314193964 -3.400855016708374\n",
      "30 60 2.188375008106232 -0.12438281141221523 -3.003235936164856\n",
      "31 62 2.3637499809265137 -0.09466437473893166 -3.9015416622161867\n",
      "32 64 2.325624978542328 -0.1206846875604242 -3.1713843822479246\n",
      "33 66 2.4704999804496763 -0.11485156174749137 -3.4757084369659426\n",
      "34 68 2.4552500367164614 -0.09403531081043184 -3.452091407775879\n",
      "35 70 2.3866249918937683 -0.11881656050682068 -2.960537004470825\n",
      "36 72 2.5009999871253967 -0.09420687668025493 -3.066974139213562\n",
      "37 74 2.3103749632835386 -0.15905750021338463 -3.1714060306549072\n",
      "38 76 2.2798749566078187 -0.1333993762731552 -3.648571085929871\n",
      "39 78 2.3713749647140503 -0.1329990640282631 -3.6346938610076904\n",
      "40 80 2.3332499861717224 -0.09843875132501126 -2.8442323207855225\n",
      "41 82 2.409499990940094 -0.12560281120240688 -3.3279038310050963\n",
      "42 84 2.653499960899353 -0.11433687433600426 -3.2180858612060548\n",
      "43 86 2.2646249651908876 -0.1100478108972311 -3.2106889605522158\n",
      "44 88 2.4704999804496763 -0.09910593833774328 -2.6611793398857118\n",
      "45 90 2.3103749632835386 -0.11748218797147274 -3.6973061084747316\n",
      "46 92 2.6916249871253966 -0.11117249820381403 -3.409600019454956\n",
      "47 94 2.661124956607819 -0.0901656235102564 -3.090595579147339\n",
      "48 96 2.6001249670982363 -0.09521718667820096 -3.5533018350601195\n",
      "49 98 2.3866250038146974 -0.1448940619826317 -4.1083073854446415\n",
      "50 100 2.3103749752044678 -0.1349243752192706 -3.4711987376213074\n",
      "51 102 2.302749955654144 -0.1511656219139695 -3.6195746660232544\n",
      "52 104 2.302749955654144 -0.14096718952059745 -3.5124253749847414\n",
      "53 106 2.272249972820282 -0.1297393746674061 -3.1238035440444945\n",
      "54 108 2.630624997615814 -0.09420687453821301 -3.497559070587158\n",
      "55 110 2.356124985218048 -0.13677343807648867 -3.4481023788452148\n",
      "56 112 2.5238750100135805 -0.11588093787431716 -3.4577960729599\n",
      "57 114 2.630625009536743 -0.12426843801513314 -4.097239542007446\n",
      "58 116 2.5238749861717222 -0.0975618738681078 -2.949714457988739\n",
      "59 118 2.462875008583069 -0.11075312662869692 -3.428397572040558\n",
      "60 120 2.3484999775886535 -0.14796312674880027 -3.2937700510025025\n",
      "61 122 2.4323750257492067 -0.10465312460437418 -3.008050501346588\n",
      "62 124 2.493374991416931 -0.12127562388777732 -3.820243716239929\n",
      "63 126 2.5924999594688414 -0.10453874766826629 -3.684845733642578\n",
      "64 128 2.249375009536743 -0.1407384380698204 -3.758065390586853\n",
      "65 130 2.4476250052452087 -0.14134843721985818 -3.2333295941352844\n",
      "66 132 2.340874993801117 -0.1250500014051795 -3.647743582725525\n",
      "67 134 2.3484999895095826 -0.12623187452554702 -3.4102582931518555\n",
      "68 136 2.4476249694824217 -0.16056343764066697 -3.4846846580505373\n",
      "69 138 2.3866249680519105 -0.12026531137526035 -3.077518916130066\n",
      "70 140 2.3103749990463256 -0.1302921861410141 -3.2496316909790037\n",
      "71 142 2.516249978542328 -0.12323906347155571 -2.5930968135595323\n",
      "72 144 2.462874948978424 -0.11475624833256007 -3.4832748889923097\n",
      "73 146 2.546749973297119 -0.1145084367133677 -4.073277872800827\n",
      "74 148 2.150249969959259 -0.12607937306165695 -3.5891227960586547\n",
      "75 150 2.516249978542328 -0.11494687423110009 -3.2751309156417845\n",
      "76 152 2.1959999799728394 -0.11904531344771385 -2.155209869146347\n",
      "77 154 2.5391249656677246 -0.10547281168401242 -3.8343400239944456\n",
      "78 156 2.5772499561309816 -0.1249165611807257 -3.699021005630493\n",
      "79 158 2.356124985218048 -0.16487156115472318 -3.4969170331954955\n",
      "80 160 2.0511249899864197 -0.15419656299054624 -2.994235944747925\n",
      "81 162 2.4018749833106994 -0.12268624831922352 -3.4781320452690125\n",
      "82 164 2.2417500019073486 -0.154406251385808 -3.796803665161133\n",
      "83 166 2.493374991416931 -0.11721531208604574 -2.858898711204529\n",
      "84 168 2.6230000138282774 -0.15869531445205212 -3.3839900493621826\n",
      "85 170 2.409499990940094 -0.13195062465965748 -3.707832956314087\n",
      "86 172 2.3103749752044678 -0.12108500087633729 -3.767729651927948\n",
      "87 174 2.5238749504089357 -0.12560281120240688 -3.046552389860153\n",
      "88 176 2.394249975681305 -0.10806531235575675 -3.4358853101730347\n",
      "89 178 2.546749973297119 -0.08463750029914081 -3.2596112906932833\n",
      "90 180 2.356124985218048 -0.1337615607306361 -3.1386509418487547\n",
      "91 182 2.5772499799728394 -0.09022281020879745 -3.6908722162246703\n",
      "92 184 2.3103749632835386 -0.13948031142354012 -3.6132244229316712\n",
      "93 186 2.356124997138977 -0.1332849994301796 -3.4524471521377564\n",
      "94 188 2.6839999675750734 -0.08263593902520369 -3.3563197255134583\n",
      "95 190 2.1959999680519102 -0.1313787505030632 -3.8833257436752318\n",
      "96 192 2.4399999737739564 -0.09397812498500571 -4.549286246299744\n",
      "97 194 2.394249975681305 -0.18347656354308128 -7.314897871017456\n",
      "98 196 2.356125009059906 -0.15585500076413156 -10.519153308868407\n",
      "99 198 2.462874984741211 -0.1688937485218048 -12.642137718200683\n",
      "100 200 2.4399999737739564 -0.19098718762397765 -13.805939483642579\n",
      "101 202 2.8822500705718994 -0.17665218971669674 -14.543323993682861\n",
      "102 204 2.4704999923706055 -0.15141343846917152 -14.890755939483643\n",
      "103 206 2.2951250195503237 -0.23117093592882157 -16.517198753356933\n",
      "104 208 2.340874993801117 -0.20236749872565268 -16.200501441955566\n",
      "105 210 2.4857499957084657 -0.16889374926686287 -15.362314891815185\n",
      "106 212 2.4018749833106994 -0.2137096829712391 -17.198324584960936\n",
      "107 214 2.615375018119812 -0.17262999676167964 -17.509155654907225\n",
      "108 216 2.5238749504089357 -0.15288125295192004 -17.67822895050049\n",
      "109 218 2.478125 -0.1911015622317791 -17.878031063079835\n",
      "110 220 2.516250026226044 -0.2028250016272068 -17.59824228286743\n",
      "111 222 2.394249975681305 -0.17602312415838242 -17.881529998779296\n",
      "112 224 2.3332499861717224 -0.18164656385779382 -18.409128189086914\n",
      "113 226 2.622999978065491 -0.2074381247162819 -17.972641944885254\n",
      "114 228 2.409499979019165 -0.1905106246471405 -19.204792404174803\n",
      "115 230 2.409499967098236 -0.23429718762636184 -19.319877433776856\n",
      "116 232 2.2951249480247498 -0.20831499844789506 -18.87042369842529\n",
      "117 234 2.4857499957084657 -0.20394968539476394 -19.111631011962892\n",
      "118 236 2.3103749752044678 -0.24535343497991563 -20.229006195068358\n",
      "119 238 2.5009999752044676 -0.2075715631246567 -20.327695655822755\n",
      "120 240 2.2264999747276306 -0.2643015593290329 -19.591102600097656\n",
      "121 242 2.4171249628067017 -0.18189437463879585 -20.904614067077638\n",
      "122 244 2.455250012874603 -0.2053603120148182 -20.85747833251953\n",
      "123 246 2.4171249747276304 -0.2057034395635128 -20.536462211608885\n",
      "124 248 2.3789999961853026 -0.19952718839049338 -21.085264205932617\n",
      "125 250 2.462874972820282 -0.22162062488496304 -20.343450355529786\n",
      "126 252 2.5391249656677246 -0.21475812792778015 -22.193184280395506\n",
      "127 254 2.165500009059906 -0.25604749768972396 -21.984009552001954\n",
      "128 256 2.310374987125397 -0.23700406402349472 -21.12953624725342\n",
      "129 258 2.4552500009536744 -0.2074190616607666 -21.430419540405275\n",
      "130 260 2.2569999933242797 -0.21041187644004822 -22.332504081726075\n",
      "131 262 2.4171249628067017 -0.20768593847751618 -22.398515892028808\n",
      "132 264 2.5238749742507935 -0.25105312615633013 -22.029957389831544\n",
      "133 266 2.3713749647140503 -0.22590968981385232 -22.263228797912596\n",
      "134 268 2.325625002384186 -0.20547468662261964 -21.99167137145996\n",
      "135 270 2.569624924659729 -0.1946662500500679 -22.498907852172852\n",
      "136 272 2.546749997138977 -0.19548593759536742 -22.33080921173096\n",
      "137 274 2.3103749632835386 -0.2240224987268448 -21.694095802307128\n",
      "138 276 2.4323749780654906 -0.23261968791484833 -22.474588203430176\n",
      "139 278 2.516249990463257 -0.17924468889832496 -21.446506881713866\n",
      "140 280 2.440000033378601 -0.2071903109550476 -21.648861503601076\n",
      "141 282 2.3179999589920044 -0.2162640631198883 -22.15986156463623\n",
      "142 284 2.2341249704360964 -0.19483781158924102 -15.837442874908447\n",
      "143 286 2.409499967098236 -0.1360109381377697 -9.426653861999512\n",
      "144 288 2.2264999866485597 -0.1269181246869266 -6.405115985870362\n",
      "145 290 2.462874960899353 -0.1244590625166893 -7.285032176971436\n",
      "146 292 2.3561249732971192 -0.12581250052899123 -6.110213088989258\n",
      "147 294 2.3637500047683715 -0.14159625247120858 -3.7237040162086488\n",
      "148 296 2.531499993801117 -0.10450062570162118 -5.154155540466308\n",
      "149 298 2.3103750109672547 -0.16855062283575534 -10.717802286148071\n",
      "150 300 2.4781249523162843 -0.19889812767505646 -16.340099906921388\n",
      "151 302 2.2646249890327455 -0.21792250275611877 -13.378748798370362\n",
      "152 304 2.2875000119209288 -0.1772812522947788 -7.498450422286988\n",
      "153 306 2.2493749976158144 -0.1278712496161461 -4.312090563774109\n",
      "154 308 2.5391249895095824 -0.08286468777805567 -3.5949758529663085\n",
      "155 310 2.462874960899353 -0.10913281193934381 -3.4422858715057374\n",
      "156 312 2.356125020980835 -0.13698312528431417 -3.4122382283210753\n",
      "157 314 2.256999969482422 -0.1429496867582202 -3.8677663803100586\n",
      "158 316 2.2112499594688417 -0.15692249983549117 -3.6644744992256166\n",
      "159 318 2.6458750009536742 -0.07436281195841729 -3.4295132398605346\n",
      "160 320 2.3484999895095826 -0.13768843822181226 -3.534599232673645\n",
      "161 322 2.5772499561309816 -0.11155375111848116 -3.053066688776016\n",
      "162 324 2.2951249957084654 -0.1371546871960163 -3.053215301036835\n",
      "163 326 2.462874984741211 -0.11772999931126833 -3.681009316444397\n",
      "164 328 2.5009999871253967 -0.09855312686413527 -3.3727637767791747\n",
      "165 330 2.394249987602234 -0.11159187518060207 -3.490196645259857\n",
      "166 332 2.317999982833862 -0.14994562417268753 -2.9060793280601502\n",
      "167 334 2.34087495803833 -0.1504412494599819 -3.271766257286072\n",
      "168 336 2.5619999527931214 -0.15206156373023988 -4.054913985729217\n",
      "169 338 2.256999981403351 -0.17110500037670134 -2.7601962208747866\n",
      "170 340 2.4857499837875365 -0.1094378124922514 -3.4316071271896362\n",
      "171 342 2.302750027179718 -0.1146037507802248 -4.112487101554871\n",
      "172 344 2.424749970436096 -0.1084846869111061 -3.143459844589233\n",
      "173 346 2.2417499899864195 -0.13877499997615814 -3.520589065551758\n",
      "174 348 2.615374982357025 -0.1232962492853403 -2.9084097146987915\n",
      "175 350 2.3332499980926515 -0.07632625084370374 -2.9978822112083434\n",
      "176 352 2.5009999752044676 -0.1271278142929077 -3.3945486307144166\n",
      "177 354 2.4552500009536744 -0.1499265618622303 -3.3152416467666628\n",
      "178 356 2.0892499923706054 -0.1414056226843968 -3.903228259086609\n",
      "179 358 2.234125006198883 -0.137364374473691 -3.398469066619873\n",
      "180 360 2.4476249694824217 -0.11603343784809113 -3.7095792293548584\n",
      "181 362 2.3637499690055845 -0.09948718656087294 -3.525937044620514\n",
      "182 364 2.432374966144562 -0.1400331251323223 -3.8510205507278443\n",
      "183 366 2.27224999666214 -0.13448593821376562 -3.9499335050582887\n",
      "184 368 2.6153749942779543 -0.09005124988034367 -3.905172824859619\n",
      "185 370 2.56199996471405 -0.12093249969184398 -4.461093306541443\n",
      "186 372 2.6001250028610228 -0.10941875018179417 -2.6085856556892395\n",
      "187 374 2.302749991416931 -0.14596156105399133 -3.8135508060455323\n",
      "188 376 2.44762499332428 -0.13299906253814697 -3.1677290201187134\n",
      "189 378 2.317999982833862 -0.13109281221404673 -3.902858829498291\n",
      "190 380 2.287499988079071 -0.11466093761846423 -3.2970987796783446\n",
      "191 382 2.615374982357025 -0.10364281293004751 -2.9731817126274107\n",
      "192 384 2.4018749952316285 -0.1304065603762865 -3.317840504646301\n",
      "193 386 2.4628749966621397 -0.0903562511317432 -3.361685836315155\n",
      "194 388 2.340874981880188 -0.12499281112104654 -3.9997914314270018\n",
      "195 390 2.3637500047683715 -0.15200437642633916 -3.320832058787346\n",
      "196 392 2.600124955177307 -0.12451624907553197 -2.6585623741149904\n",
      "197 394 2.508624994754791 -0.12158062364906072 -3.1584481596946716\n",
      "198 396 2.5238749623298644 -0.12331531159579753 -3.137743926048279\n",
      "199 398 2.5009999871253967 -0.09210999965434893 -3.4122966527938843\n",
      "200 400 2.150249969959259 -0.12716593593358994 -3.0701631247997283\n"
     ]
    }
   ],
   "source": [
    "Npoints = 10\n",
    "for i in range(Nstep+1):\n",
    "    phase = phase_min + i*2\n",
    "    ds_phase.AO2 = phase\n",
    "    ch0_Amp_raw_s = 0\n",
    "    ch0_Charge_raw_s = 0\n",
    "    ch0_Charge_integre_s = 0\n",
    "    for j in range(Npoints):\n",
    "        time.sleep(1.1)\n",
    "        ch0_Amp_raw = ds_WC1.Ch0_Peak\n",
    "        ch0_Charge_raw = ds_WC1.Ch0_Charge\n",
    "        ch0_Charge_integre = 1e9 * (ds_WC1.Ch0[400:600] -ds_WC1.Ch0[:300].mean()).sum() *10 / (3200 * 1e6 * 50)\n",
    "        \n",
    "        ch0_Amp_raw_s += ch0_Amp_raw\n",
    "        ch0_Charge_raw_s  += ch0_Charge_raw\n",
    "        ch0_Charge_integre_s  += ch0_Charge_integre\n",
    "    \n",
    "    df.loc[i] = [phase, ch0_Amp_raw_s/Npoints, ch0_Charge_raw_s/Npoints, ch0_Charge_integre_s / Npoints]\n",
    "    \n",
    "    print(i, phase, ch0_Amp_raw_s / Npoints, ch0_Charge_raw_s / Npoints, ch0_Charge_integre_s / Npoints)\n",
    "    time.sleep(1.1)"
   ]
  },
  {
   "cell_type": "code",
   "execution_count": 39,
   "metadata": {},
   "outputs": [
    {
     "data": {
      "text/plain": [
       "<AxesSubplot:xlabel='phaseRF'>"
      ]
     },
     "execution_count": 39,
     "metadata": {},
     "output_type": "execute_result"
    },
    {
     "data": {
      "image/png": "iVBORw0KGgoAAAANSUhEUgAAAYkAAAEGCAYAAACQO2mwAAAAOXRFWHRTb2Z0d2FyZQBNYXRwbG90bGliIHZlcnNpb24zLjMuMiwgaHR0cHM6Ly9tYXRwbG90bGliLm9yZy8vihELAAAACXBIWXMAAAsTAAALEwEAmpwYAABsq0lEQVR4nO29eZwlZX3v//nWcrY+vfdszDAzLAPDJgOOoCEYFYhCDGBCFOPViT+9hsQkN8k1ES+50SzeiN4bvCbRhIsLcYkJRgSJkrAGRAWHZWBYZ2D2rXt677PW8vz+qOepeqpO1emzdPfp6X7er1e/+pw651Q9p07V832+OzHGoFAoFApFHFqnB6BQKBSKxYsSEgqFQqFIRAkJhUKhUCSihIRCoVAoElFCQqFQKBSJGJ0ewFwyNDTENm7c2OlhKBQKxQnFk08+eZwxtiLutSUlJDZu3Ijt27d3ehgKhUJxQkFE+5JeU+YmhUKhUCSihIRCoVAoElFCQqFQKBSJKCGhUCgUikSUkFAoFApFIkpIKBQKhSKRtoQEEQ0Q0X1EtIv/70943zb+nl1EtI1v6yaiZ6S/40T0ef7abxDRiPTah9sZp0KhUChao11N4kYADzDGNgF4gD8PQUQDAD4J4GIAFwH4JBH1M8amGWNbxB+AfQC+K330n6XXb2tznAqFYolTqNi48+mDnR7GkqNdIXENgNv549sBXBvznrcDuI8xNsYYGwdwH4B3yG8gojMArATwaJvjUSgUy5T7XjiGP/jnHTgwVuz0UJYU7QqJVYyxI/zxUQCrYt6zFsAB6flBvk3meniag9wB6VeJ6Fki+g4RnZw0ACL6CBFtJ6LtIyMjLXwFhUKxFChbTuj/fPDIKyMYnanM2/4XI7MKCSK6n4h2xvxdI7+PT/Cttrm7HsA/Sc+/D2AjY+x18DSP22M/5R33VsbYVsbY1hUrYkuPKBSKZYDtetNP1XHnZf+W4+KDX/sZvv2zA7O/eQkxa+0mxtjlSa8R0TEiWsMYO0JEawAMx7ztEIC3SM/XAXhY2sf5AAzG2JPSMUel998G4LOzjVOhUCxvbC4cLGd+WjJXbBeOy1Cs2vOy/8VKu+amuwFs44+3Abgr5j3/DuAXiaifRz/9It8meC/CWgS4wBFcDeDFNsepUCiWOEKTsOZJk6hwM1bVnp/9L1barQL7GQD/QkQfghed9G4AIKKtAG5gjH2YMTZGRH8B4Gf8M3/OGBuT9vFuAFdF9vt7RHQ1ABvAGIDfaHOcCoViieMLiXmaxCt8vxUlJBqHm4Uui9m+HcCHpedfAfCVhH2cGrPtEwA+0c7YFArF8sKZZ5+EEA7LTZNQGdcKhWJJIMxM9rz5JJanuUkJCYWiDQ5NlPArX3wMY4Vqp4eyLPjqY3vw4pGp2NecefdJLE9zkxISCkUbvHB4Ck/tn8Du4ZlOD2XJwxjDX9zzAv71yfisahHVNN/mJiUkFApFiM/9+0u4d+eR2Neqy9RO3Qksh8FlwEwlPgTVcec7BNYJ/V8uKCGhUMzCNx/fj/teiEsBWr4TRycQ5zhJSAjhMN/mpuW2IFBCYh54ev84bn3k1U4PQzEHMMYwVbIShUB1mZogOoE4x8maxDwLCaE1ztP+FytKSMwD333qEG6+92W47vyovYqFo1B14LLk1aOYMJQmMf/4QqIcLyRsd35X+r7WaCkhoWiTqbIFx2WYLFmdHoqiTab4b5ikKSxXE0QnEIX7kjQJ2zc3zV9ZDkBpEoo5QEwso0soLDJcoHf5MFUWQiLB3OQoc9NCIQTydKImsXjLckwWT9wFoxIS84DQIJZK7PwNX38S/+POnZ0eRkeYKnkTkpgYfvefnsbfPbTbf90Pi1xmJohOMLvj2g39n/vjt2Za3L53DBf+5X04NFFq6nN3Pn0Qf3HPC019Zj5QQmIemOIrnbHC0qg7//yRSdyz4/C83XyLmai56al943ju4KT/up+FuwzPzUJT5oK4ULFjNdvFWpbj0EQJjstwdLI5IfHQSyO465nDTX1mPlBCYh5YauamiaKF6YqNJ/eNd3ooC44wN1WlVaQ8Cfnb57HRjcJDCGTbZbHmPeGLmO+yHM2aFiu+cGvuGilbDkqzlCW/e8dhXPHX/zmvQTJKSMwDvrlp5sQXEo7LfBvwQy/F5wosZaKaRNlyQ+aG5ZqF2wnkcxznlwiS6RZXnkSZXy/N9qEoWQ5KllPXH/jikSnsGp7xjzEfKCExx5Qtx7+YF0qTePy1Ub/hCgDc9uhreO+tPwUAPPDiMdz4r8+2vO8pKULroZfrC4li1ca2rzyB10aWTokKYTqUk+bkSULOk9h7vIAz/uSHqkTHPCG3JY3zS8y745r/1rbLfNNWQ5+zRH5HcxN5xXLhsvoLkCI/D6WqEhInDPIKZyEc1/tGC3jPrT/FfS8c87ftODiJZw5MAAAefGkYdz59qOX9T3Ahcc5JPXjl2Exd59u+0SL+85URPL1/ouXjLTaEkKzyrmSWEzZ1yEJi/1gRVdvF4SYdlIrGkM97XK6EMDNV7fk1N3nHaFwQVVrUJIR2UE8AFKpi30pInDDIuRFJQuLHu4/P2UQijnFcOtZkyULJcmA5LqbLdlsrq4mit9+LTxkEABypM25xoc6n6rvQBCGwgZlJjmSSNYwSX+k2s8pUNE7I3FSpDSm159vcFLM4aIRyiz4JIRyKdfxdQvCU5tEnpoTEHCMmlZSuJZqbfuubT+HWR16bk+OJC09eWU3yiX26bGO6bMFlrU9cQpNY2ZMGUF/1FRd1OSYc9JkDEyFzwYmCHAIrvlec49p73ft+yzEKbCGQgwPiJtz5z5OQFgdO49dy+5pE8ufEeVjU5iYiGiCi+4hoF//fn/C+e4logojuiWw/hYgeJ6LdRPTPRJTi29P8+W7++sZ2x7oQCPPE+sFcYghssWrj+MzchMcK2+yMtLISE/t02fLNX9EbZ7Jo4ZFXRmbdv0gCWtntCYl6KyixmokKg8mShV/90o/x7Sf2z3q8xYYQ+rbLUODnWp6sZMe1uFGVJjE/hMxNcZrELAX+jkyWcHSy3Mbxpd+9ibyYVjUJ8blStY5PgguQxW5uuhHAA4yxTQAe4M/j+ByA98dsvxnALYyx0wGMA/gQ3/4hAON8+y38fYseYW46ZagLY4VqTWSCy+3a48W58VeIi0T2hUwULX+bmOSiN86/bD+A3/jqE/7EJ9g/WsQf3bHDFwbi+6zszgCon0gkxhINB50semVK9o0Vm/tyiwBx/uTHST4JISRtJSTmBfm6ivVJ+HkS8ef/j7/zLD52x47Wjy//7nW0ld3DM6FFYMuaRHX2z/mahNXcvpthLoTENQBu549vB3Bt3JsYYw8AmJa3EREBeBuA78R8Xt7vdwBcxt+/qBHRMKcMdcFyGKYjk7C4uMYKc5OmLyZ5cdM4LvMns6mQJhG+caa4GSoaSvgfLxzFHU8exN7RAoBA4DRibhIaRPQ9wn7cziquUwhzk/y4GjNZVJVPYt6p2C40PgNE7ysAfoSflXCNHp4o+dd1q8f3H9fRJD74tSfw+ftf8Z/7mkSTq30/dLYRn0QdbaNd5kJIrGKMiY4sRwGsauKzgwAmGGPiFz8IYC1/vBbAAQDgr0/y94cgoo8Q0XYi2j4yMrv5ZL4R5qaNg10AanMlxKQyPkeRT+LCE8JpumxBKC+eTyLe3CTU06javm/UW+2P8nFPlKroThvImjqAWcLxqvHmJiHAjpyIQqJswdTJfwzETxYV2/VXfkqTmB/KloN82oChUawmMVup8ImihWNT5ZYTzyq24wupJE3CdRmOTJT9xZX4HBCEqzaC7bj+wq6x6KYOaxJEdD8R7Yz5u0Z+H/NsKwt6hzDGbmWMbWWMbV2xYsVCHjqWqZKFtKFhTa9nnok6r8UqdKxYa4pqhULEJyFfnJMly/dZRH0JgZAIX4D7uUlImMMmixZ6cybSpha7H5nAJxF+jxjDkSbLEnQa0UtiRd7TovxwWMf1fzu/wJ/lSpqEclzPBxXbRcbUkc8YsXkSlohuihECruuZeC2HtewPrFguujMmgOT7YLJkwXZZaKEkFhWFJibysrT/ev4GP09iHoNCjEbexBi7POk1IjpGRGsYY0eIaA2AZtJyRwH0EZHBtYV1AERQ/yEAJwM4SEQGgF7+/kXNVNlCT9bEQFcKQG0YrBwNU6w66Eo39BMkEjiuvf8TUgiubN6Jrm5FxER0RXaACwkx7smShd6sibQ+uyZRSgiBFWMbnq7AclyY+okRVCd6SazoTuPwZDkU3iwmLL8yqBMIifkqVb3cEec8ZWjxyXTCcR1zjU6XbYhb4MhkGSt7Mi0dvztjYLJOEyohgOSFkhAYzTiuZSGTJABcl/mmqEUd3QTgbgDb+ONtAO5q9INc83gIwHUxn5f3ex2AB9kJUK9aTKqBkAivWuQVyFwk2xX5hSfMShOSQ/zQeLByb8Tc5LgMB8bDQmKiZKGvUU0iwdwkxsYYMDJdu4pjjC3KBk1CcxgSmoQkUKO9BSq249uFlU+iNcqzlKAoWw7ShoZ82qjruI4zN8mBIq1qtBXbmVWTOM7NtK1qEp/795dww9efDAuJhM+Vbcc3LS/26KbPALiCiHYBuJw/BxFtJaLbxJuI6FEAd8BzQB8korfzlz4O4A+JaDc8n8OX+fYvAxjk2/8QyVFTHeOHzx3xHVQOVzGnSjZ6MgYG856QiJqb5At4LiKcZiIagbzaPSzdDNGLWqxOZMf10amyvwr2hUSxir5sCim++q8b3ZTguJZXfeIG/cFzR/ArX3wMjDHcveMwLvpf989545528zKED2JFd9jcBNS2La1YQZ6E8kk0z1TZwuv/4j48WKc+WMV2kTa5kKjnuI4REmPSvXZ4ojXfWMV20ZMx/Mdx+JqEdJ8IraLYgCbx41dH8dyhydC1myQAZM2k4+amejDGRgFcFrN9O4APS88vTfj8awAuitleBvBr7Y5vPrnnuSP4j+eP4oZfOA233P8K7t15FPm0gRXdaeRSBtKGVtNspDLnmkQ4BFb4JEydQiU0ojeOWPXLIbD7R4MQVd8nUfJ8EppGMHWqO5GXZ3FcA4Hz+rlDk3hq/wSmSjZeODKF4zNVzFRsDBipRr72rAxPlXHpZx/CVz/4BvzcaUMt7UNEM/lColzrjJQ1CuWTaJ2xmSoKVadu2ZeK7SBjeD6JuHsn0CRqhbSsYR+dalFINOCTEEJCNv+Ia6URTeIAL+0im6uSTEmys7rjjmtFPKWqA8theO7QJO5/4Rj2jRbxwpEp9Ga9C6kvZ4YcyUA4KqIVTeLoZBkHx4PJXKwmqo5XNkIcb21fNlT6I3rjBOam4OIS/oihfMrP8ZgoWujj3yelaw1GN9VqEgYPCxF+EiFIjhcqOD7tnYe5XA3tHplBxXbbKrZXY26SwmGrtue8rkqaRElFN7WM+O3rLkIsSZOoV7spTpMoBJUQWimJwxhDxXbQkzXqjnPUNzfVRsAVq/XNaYWK7S+WSs1qEos8BHbZIlbh9+48ildHvPhrxoAevtroy6ZqBEHYJ9F8rsRNdz6HP7ojqOoqr05myrYfstqXS4UuVDuqSQhzkyQk9o0VoGuEs0/qxVihimLVge0yX+ilTb2ljOvpso2V3WnkUrqv6ouxHZ+uYLRQu/pqFyGMxtvIR6lnbqrYQYiiRt5qUZjb5qufwVKmEad/xXaQNnR0Z4zYPIl6IbBCkzhjdb6lUGzbZXCle3s2x3W4nHyQP1NvkSX8gS4LWxmSFk+y9rDYk+mWLeLH+9bjXrmJc9f2AIC/2ujLmaFoIyAsJFrJlTgyWQ5dQLK5aLps+yGr3ZmwJTG6uirGRDftHythbV8WK7vTGC9U/bH35biQMLS6PgkxyUcFyUzFQnfGxJreDI5Oeas4sZ/RQtVffc2pkOAmhXb8PkIrCxzXYSEhvkM+bcBlwIxUwkPRHH6OSZ1M5orlIsM1iWilAEAKgY2ZiMeLVRgaYdPK7oaTOr/62B68/8uPe8fm++xu1CcR0SSEJl3PwSybe+Uw3aT7Qk7OW+yO62WL+GFKloPutIFPXHkWAETMTXU0iRYmsIliNaw9VBwMcSf5TMX2o5HEikfQiLlp/1gR6wdyGOhKYbRQ9YVYb9bbf8rQWtIkZio28hkDa3qz/ipOqODHZyqBHXcOzU2+JtGGkBgrVKFr5Netijquq/7E4Z3ryZLIelc+iWYJNIk6QsJ2kTZ05NMmilUnFEXmusyP9InTRsYKFvpyKZzUl8HRqXJiBNqtj7yKD3zlCQDAXc8cxva9XjdGEeoshERSMp2IbpKv5bLtoJ9HO+44OIGtf3l/rO9lv1S2RkQBZk090d8g/JF9OXPRh8AuW0pVx8/GveiUAbzp1EHceOVmXHXeGgCeuSnJJ0EUr0nsGy3gfbf9FJ/+txfwakzznvGiFbogilUbq3ni3lTZ8qORoprEbI7rsuVg17FpnLqiCwNdKVRs159ow5rE7MXGyjWahJcpu7o3gyMTEZ/EdCXQJOZFSLRubhotVNCfSyGb8nJEwiGwQXOpnqwQEt73UJpE8/g+iTrmJhEC25X2fg95gSO0CF2jULKjYKJYRX/OxJreLByXxYZiA8ALh6fwyCsj2D08jZ2HJlGynJCZKJ/m5qaEshxiweP1Hgl6kAzkPCHxo13HcXymgn3Ha8uDHJCEhLgnBrpSiVqC+P6DXSlVKnwhKVsObv/x3oZi3YtVG1s3DAAA3nTaIDSNcMMvnIZ1/TkAQF+XZ26SL1ix+hzKp2MjNH62dxyP7R7FbT/ag8/e+1LN2EqW4180rstQrDpYzRODPJ9EvLlJFhKW4/oTmYiKevjlYRSrDq44e5V/Qb98zCu1JXI+UrMICaFi10Y3WcjzsGDxncV+9owWfcE5Wz/fZhDmpqgm1wyjM1UMdgXhv/KkVLFkTcI712IF6yifRNOIRcvsmoTmn2/59xD3a46Xjzk4XsJvfeNJf+EyVqiin2sSQDg8XEb8hrfcv8u/R4pV279esynNi/JLGOfojKd9AqJLpfe9xD308lHvnoqb1GVNQgib/i4zMZRbzAOD+bQyNy0k971wDJ+8+3k8e3Bi1vcWqw5et64XX//QRfgvb9xQ83pfNoWqVB0UCITE6p5MrClkSqoiG/3hhVZSspxQtqXIHp2peD6Jvqzpm0CEpiOr4PJ+xY32/R1HMNiVwptOHfRV4wdePIasqeOUIa8OVdqo77j2NYlIUtRMxUZ32kDONFDlqytx4b98dMp/32I0Nw10pfxEQpmq4/oTRXcka15pEs3TSC+Oiu14ZTn4al72p4nrO8O1vsd2H8cPdx71J+WJooX+LhP9fAE0WYrXMMVv+m/PHvG3FavBZJ82dKQNPVaTKPCoJLFoK1uu/76BfHjhlSQkNgx6C0yh6fTnkjUJYXZekU8rc9NC8hqPUprtpAsVNJcycOmmFcjwFYyMMNOEin3xi3BVTzo2ukk4R4fy6ZoLUZ7wyrbjm4rERTlVsnyfhFhtiRWMfPOVIkKiULHxwEvHcOV5q2Homv+Zpw9M4IL1fX4ZDS8Eto7jml/4LgtPlDNlG/m0gWzK24/cB1ycb29cc2PLtxwXI3wlNtFGdNNooYrBfKBJAJ6ZEODmJitsbhLYyifRNMVZNAnGmBcCa2jI+5pEuFoAAOS4kBBJrGIRNF6shkyH5YT7O+74MxXb/63Thub55mKaDonV/7r+rHcMy/GT6oR2Lib/6MTvugwHxks4e01PaF/1zE3FildwsL/LVOamhUSUEp6tBadYNYuLMo7+GCEhVuKruCYRtZ1OlfiqO6XXTMiykChUHP8GEELi6FQFjsvQl035juuBLs/pKl/8YuwiSuThl0dQtly883Un8c94FzRjwNYNQQ+ptJnsuHZd7ybuEjehVDa7UHWQzwSVZEuWE5ud3GxC0JP7xvCpu5/HR7/1lO/f2T08jeHpChgDTurNYLpit5zJPTpTwWBXCoau+SYEoTVUbdefKKKmPVWWo3lmC4EVK/y0qSOfFkIiuD9EVJS4xsT1MF22wZhX3K+/K4WMEVyDcViO6y8E1vZ5k32xEixq0oaOlB5/HwintTA3l61gISHuKUHUhDQ8XUHVdnGWLyS8aKzujJE41kLVRlfKQC5lqGS6heS140KTqD+xiNV4to6QEFFBsl1cNjd5vR/CP+5kySsQGOckloVNqer4af793G4uTDdD3YHjepBfnPJFLVYmK7rTmC7beOnoFDQCLlzvCQT5gt66ccB/XC+ZTlzIwlRVtly8cmwa01wzyqcNX9sqVZ1YIdxsGY3/+b3n8Y2f7sO/PXsEP31tFC8fncblf/0Ibnv0NQDwb7iJUvMmp6rtYqps+0I2bXi3itAaKnZgSogKCZUn0TyzRTcFk7Tkk5DuHbHYEPej8H3NlG0UeNJrf84MNIkEx3PVdnH+uj783GmDeN8b1wPwJmPf3GRqSJvx94FY/a/1NQnXf58o0+N/34h2IKKdzlzd7Y27YiNj6nUFQLHiIJfWkTF1lC133uqfKSEhwRjDHh5RNNuEJSbaepqEb26KqfkjmvhEy3ZMlS10Z4xY+7+sSRQt29ckutJegtFjr44CALZuGPB9EmLCl1fs4oZc0Z1GxXbx2vEC1vRmkRITYcaArhE0Ai5Y3+d/rl4ynS8kuFp9cLyId3z+Edz+430AvIk0K2kZsimNyEtIa0Zlth0vm/rXtq4D4CUi7Rr27L0ib8UXEi1EOIlzLW5uX0hkgugWYTrsjoQbK02iecqzmJvE/RjWJILfVQhmcT+K8PKpsuVrFX25VLBQSbjWqo6XPPqt//pGXMLLuRSi5qYETUJEJK3jGkjZDjTmqCYRPb4QMCdJ92HG1JGtIwACTUL3jzcfKCEhMVao+iv72c1NswsJMWHKk3vVcaBr5K9Qow60Ka5JxEUSyZNdser4K4yulIF8xkDVdrG2L4t1/dlan4S0L7GKEfH/Lx6ZwskDWf91IkJ/LoUzV/eEJsC6mkQ1rEnsHyvCZcBjrx4H4IUOClNAserdPOJ5fy6FrpTRVITGXh4V9YaNA+jOGDg4XvKjQ8QYN6/xVmVJSYuuy/DBrz4R2+tb3PCDUmQXECRKVp3a6CaBclw3T1CWI/7cyZO0KK8vF6cUIbBx5iZx/w3kUv7rSYtAyw5K2YtQ20I1bG5KMrsKjXVNn3BcB5/rzZqQ+2pGNQkhJIa6U75JM2NqwcIqZj4qVj1NQsxB8xXhpISEhNzaMEkdFYg0+GwquUZinOO6artI6ZqfcBc1hfj9G2Kym0Op+lVH0iQMf3V18akDICJ/xdufS4Eo6pMQQsK7mPccL+BkbkcVXLvlJLzv4vWhbUlqNiBrEt5xh6e8i37HgQkAqPVJ2K7v4BvsSiGT0psyN73Co0TOWNWNk/tzODhewoGxou9kzpia3x0wKVeiZDl46OURbN83XvOaONdCyKa5LTuIkw8mgKgmoRzXzVPi99ts5qZMSJOoDYEV96PsuBa/f3+XCVP3NOSkwBTLcZEyvNk8x/dVrEjmJq5JxN0Hk0ULKUNDHzczl6qBJpE1dT881/u+4eMHi5K075jPmvUFQKFiI5cKm3Hng7arwC4l5EibuTA3ZUzdqwQbMTelDM0XIFFNYrpsoydjxobZhcxN1SBfQpibAOCNp3odXgfyKaQNDSf1ZWBqWihJSQg4UZOIMeDkgbCQ+JN3nl3zfepFN4mxCO1J5CkESUiGv5IqVR1P6+nPYtfwDAbzXvJeMxf5y0enoRFw+so81vVnsed4AVXbxdkn9fAqmo4/wSeFwYoxV2J+a1FPapCX5AhMAJonwOtpEson0TSz5Un45ibDCyLIpfRICKzQJLzfKdAkAnOTt2AiZE29ruM60CS837VQdfx2m2lTS6w8MFnyws8zfAxl2wXxiz5j6silDVRsFwNdqVhNopdbEPK+JqEHC6uYe6NY9aotiDloviKclCYhsed4AYZGIGpcSGRjQl9l+nOpkLmj6nhCojcbLyQ8c5MRu2qfKFqSycb2Q2A9TcLb35u4kMinDTzw338B77pgLUydQjVxZMe1YH1ESMRRL7pJXMRC+EXLMXdLmoTQnkT0yGDeK/5XT10enirjxn991v9dXjk2jY2DXciYOk4e8DSJfWMFnDyQw/959/n4q185L9bcJyP2FfdbR81NaclOnDY0zyfBBWaPim5qGz/aLUHAyo5rgEfmVWOS6VLBxA6EzU3iesjW0Voth/lCQky+nk8ikicRs1iaKHrh5xnJpCULt66UjpP6ssinayOWjs9UfP9XXjI3+dpMnCZRtZFLG8rctJDsOV7A+oEcMsbspo9GQmCB2iJ/lai5qRiO9Z6uCE1CQ9UJO6zGi1U/Y7Qom5tSBtb1Z3H6ynxII1jXn4OhazANLTZPYqUkJGSfRBLezVFb8gAItBOxeh+OCIl82pDsxbycOTc3DXV5DsV6K6GfvDaKb//sAJ7ePwHA0yTOWNXNv2cWJcvBgbES1g9kcdaaHlx86iCyKW9CT3Jcx/Xk/vHu4/jAV57A0akydI2CCrh8cvLi5L3zEK3dBHiLBuWTaJ6gLEeSuSmYpAHPfDkdl0wXWbTNVGyMF6ogCiLT6l1rVUmTMHVPayhIGdciTyLO3DRRqqI3GwgJ2SSZMXX0Zk1sGMwhm9JrNYnpql9IUmimGcncJI93umzhuYOTKFYcdKV0/3jzFQarzE0S+0a9jMfxYnVWn0Rgbqp/CnuzZiiCqcpLC4gVqVw0ToSL9mbNUDObjMZX4EUL6/qzeHWk4JubMqanft945eZEf4Gph81Nvk+iRxIS/Q1oEnyitBzm220FImS4j6/Wjk1VoBH8vsL5jOHfGH512WwK771oPa44ezVeOTZTVzAL09ve0QIuWN+HvaMFvPN8L69jnTT26PcY6ErVOK5HpishlV92Cj740jAeeWUErw7PoD+XgsbzI1IRTUIu8CcXU8xnDKVJtMBs5qZgsvV+h+5Id7poMp1gquz5JPqypp/r4oWMJpubxHUOeIsbbzKOJtPFmZtsrO3L+mMsWY5//aQNDZ9+13nImBpu/NfnajWJQgVnre7xjynGmU3VCoCP3bED//HCMWhEyPE8CaD9ToxJtKVJENEAEd1HRLv4//6E991LRBNEdE9k+zeJ6GUi2klEXyEik29/CxFNEtEz/O9P2xlno4wVPGlez2b5H88fxbce3+9f1Ll0A+amSJ6EmHB6s+GmRKKpjciTAMKFxMaLVd/ZW6p6IbDyBdUbyfwVpPSIJmE5SOmBgy1taCHTUxL+mGIjLWz+fQNz04rutK+tdEkONpE3kjY0/NWvnIef3zQ0q7lJTOR7jhewe3gGLgPO5JqErAVFzWZ9uVTIcV2s2viFzz2Eu545FFu1VkRIHZoo+aYmb6ze2H2fhC07roOFQnfaUI7rFpg1T8IKaxJdkcZD0WQ6wXTZwhjPthZkzdqVvMCLbgoWQLmU7pmbbC8q0dA139wYZbIY1iTKVtBhLm3oOHdtL05f2e1pElEhMV3xqznnM8k+iRcOT+Hfnz+GjKHDcRm6ToDophsBPMAY2wTgAST3of4cgPfHbP8mgM0AzgOQhdTuFMCjjLEt/O/P2xxnQ/hZmXVWGt96Yj++9J+7A01iFp9E1NwkfBLiNdknIUpy9GQMv16Q3LBksmRhRXcGhkaeJsGjG2bD0KnG3JQxg2qaJw/kfAdbPcS44/wS4nyJm7Fqu+jLpnDm6m50pXToGgU+CT5py6aBTMyNE7f/PccLeOGwlzQoQlxDmkRESPTnzJCQnixZKFYdHJksx5qb5CJrcgJUYG7SfXND1XahUXhiymcM5bhugCOTJb+uEiBrErP4JMzAJyFrEsLEl4loEjNl26sA2xUWEkmWAtknIY5TqNqYKdv+ZJxO1CQ8n4SpazA0ChX4k+t/ZSJCqmI7mCrbfpCE8C9mTa1GAHzhgV3ozhj4/u9egtet68Xr1vWFQsvng3aFxDUAbuePbwdwbdybGGMPAJiO2f4DxgHwBIB1bY6nZUo8FrovZyJd5yKaLFkYma6gWPVW44Ze/xT25VKYKFb9SU6EwALcFCUJCfHY0yS4XZPfHFMlC4zBzxotVr0LKxpZE4epa6GJq1j1hEsXFzAn98/ujwBkTaL23PjRTdLN2Jsz8UvnrcHbzlrFx0HQNfIn7Yx04+RMPVRP54sP78Y//mSv7/8Q5qw9xwvYcXAC3WkDp/AQ13zaQH/OMyes4WXTBVFNTrR8LFTsmp7cjDHsHyv62pqcABWKbuJJhaJTmqaR/5vm04byScxC1Xbxvtsexzv/5lF8f8dhALO3LxUrd7GwyGeiQqJWk0gZmue4Lli+hgskL0gYYyGfBABfwx2ZqfhacVwyneW4KFQdX5sXWdBlKb9D3qd8fBEkEeeTEOYmEfJ+7/NH8b6LN+D0ld24+3d+Hm8/Z3UoSXU+aFdIrGKMiXKJRwGsamUn3Mz0fgD3SpvfREQ7iOiHRHROnc9+hIi2E9H2kZHapKhGkSMgMmZyqOdUyULZcjE8Xa5bkkPw5k1DsByGO7YfABBjbpI1CSEkMmaNaUcen3fh2jwiYnYzkeeTCEc35VLe5DaUT+P0lflZ9wEEE2WckBAXfZ9k8urNmrj+ovX4m/deAMBL0suZuq9JCEEIeBEnReki/+JDr+JP73oe//2OHV5xN34e9o8W8cyBCZy3rte39wKeNrG2L1sjtIVNOfjutn8OfE2Cf59R3rL11y9ej3za8KOv5LGmDR1pHgos/5YpwyshnTF15ZOYha88tgevjXhBIr/37afx5L5x/7dIMtWVpTwFoNYnEc24BoA1vRmULG+C75PMTRlDi51QhXBPSRN6Fz/OyHTFN8mmzdroJrHAE9F9GVNDiWsSaUMLaepRc5efSFcT3RTkhBSqtn+MU4bC2nLHzU1EdD/3GUT/rpHfx7WBVu+OLwJ4hDH2KH/+FIANjLHzAfwNgO8lfZAxditjbCtjbOuKFStaPLw8CZt1bZYiI3vfaHHWyCbA6zNx4fo+fOnhV3lROFlIpDBVsjBVtvAv2w/4F0FvzqyZkIVdvS9n+tnJsh2zHqkYc5MQcHfc8Cb87mWbZt0HEEyUcau9UtW7GeSVXF+MjyST0v0QWFmTkM952fJWTUP5NL771CEcGCsFmpjj4vnDU3jdur7Qft/9hpNrkv/EMeRVm6xJiO3C3r2Pt4/cvLobd//OJfjtt57ufy6sSWj+bylHPWVMz6ymNIlkxgpVfOGBXbj8rFX4p//6RjDmJVyKayrR3BRZkecznk9CaJp+7SYzLCSAIFBBEOcT8I7tHUP2SXSlvEWGJyS8/QlNQo7yEwufIBpO96KbrLAjHKiNrvI1iW5hbgqEhMjVmCkHIe/CHOXvz5hfITGrrYIxdnnSa0R0jIjWMMaOENEaAMPNDoCIPglgBYDflI45JT3+ARF9kYiGGGPHm91/o0z4k7Dnk5D7GcuIiXzfaKGmRHQcRITfvWwTPvjVn+GuZw7FmpvufOoQPnn383jn67yOdj0Zo8a0I0oMD+XTfgjd8ZkqVjSgSRgRx3WxGpTEEL0iGkGMO07LKlmBdiKSjfpytecna+p+tJHsk8imvLBSV+oa9rp1vXjwpWHMVOyald/563pDz98f088DQE0md0iTiJibRGew9QNdOHVFWLuS8yRSuoYxXuAvJQkJXSMYGqn2pXV45sA4ilUHH3nzqRjMp6FrhAPjgR8orj81EBMCmzZh83L9GSnsWNbuT+oNNEH5Wswm+BwtXhIkZG5K6yhUbYwVgnstm9LhMvjHBoJ5QQiJbEpH2XaQtrWasNxonoYoaz/ES/UEjmsNJneUz1RsP+S3KxIso2kUMqfNNe2am+4GsI0/3gbgrmY+TEQfBvB2AO9ljLnS9tXE9TMiuoiPc7TNsdYlam6K80mULcdf8RyfqTakSQDAW85YgVxKx0tHp2vMTTMVGy9xB94jr4xAI2/14vskLCEkvLyDlT1e4tmx6TKqjuvbMeth6hRuOmQ5DZnKogjnW5wmIQseMaHKKr4ga+qY5isieYUll+wQ6reIVCpZNsqWG1olnn9yX0NjzhiB8AGCJKtCNRA84rfeN1oEUdAPIO67p42gCmjFCZubstxBrxzXyewe9gponrEqz2uYpXzhnEvpdfIkvBLeYpWf5xOlmDjjoptEDSUg6OcA1DqO/WPw0u+ykOhKGTg+4/kghblJLA7lhaRoXSuueTGHVCy3pmlVztRhOcxfuMl1m4CgHL34Lt0ZA9OVQJOI80M+/ae/iD+84oya7XNBu0LiMwCuIKJdAC7nz0FEW4noNvEmInoUwB0ALiOig0T0dv7S38PzY/wkEup6HYCdRLQDwBcAXM/iMrjmEL++S85ExghfRKJ39FQkOzpnNpZmQkS+1lCxw9FNAPD0/nF+HBvdGROaRjXRTcPTXt7BYFca2ZThm0bEhVUPM6JJlLlPolkCTSLe3CQiS8TKKS4kV44+iWoSgBAS3g0nIpVEQcB1/Vl0pXQM5dM1Duok/MQmPmbRPD7sk+D+jrEiVvdkYhtIpfl3T5tBPwEv5yXwVWRNHYYyN9Vl9/AMhvJpfzJdkU/jwJhXJrsnY9bNk5Bt+0HjISEk4nwSsiYRFhJxi0CxkJKbTHWlDf+9wnEtMuzl+SBqbhIJuWUe3CAjX+uAl0iXS+l+pKIcAgvwSK5yUPU5am6ab9pKpmOMjQK4LGb7dkjhrIyxSxM+H3t8xtjfAvjbdsbWLBNyOeFIw58/umMHilUHn/zlcD2jZlbjQkjIdmxxQYlidfK2qLlpeKqCIa6e50zdX0E1oklE8ySKVmOhs1HSZrJP4thU2VfHha8h3twU3ICxmkS1VpPwq8amdJyzthcru9MNhezKxxOfF5pEsWr7EVOyuSkaQhv97mlD88syyAI/bXoTmKFrynFdh13DMzh9ZWDiXNGdxhN7xgB41/7RqTIcl/mJbwJZIAPBRClW134IrCTgT5I0if6IuUm00ZWPI0xdpiH7JIL9CU0iKKkTOM59x7Vkbpqp2Mhaesj3Jo+xXHXQkzExWqiE7uOhfBpEQXSdiOSaSTA3zTcq45ozXrTQlfJi4L1VQDARvnx0GjbPU5BpZjXeI4SE7JPgF67LvCZER6fKfinqaAjs8HTZz5CWj9uYuUnz7a1A2HHdDPV8EgfGi7h0kxc4IBxpIllPRjYHpJM0ielwG8gSX/VnDB1f3ra1ZgKph9w/oB+SJlFxQnkSjDHsGyvgzZvigx9CtZuE45pHrgDe4sLgPgmVTBcPYwy7h2dwzZaT/G1D+bT/OwgziuW40LXw9VmxnVDUkXDu+uYmNxwiC4Q1ibDjOlg4CMewOC4QMTdJr9eYm2I0iR7JcX18phqvSUjX5L7RAh58aRgXSc29TurL4p7f/XlsljKwZyqBJtG9wJqEqt3EGS9WI/bEIInt0EQJI9MVX0gYWriUcCP0ZExMCSER0SQA4Fdfv9Z/HyBpEnwcx6YqfmlvOcu7ESEhkukYY9h1bNpb4cySBBhHYAILT4Jly8GxqYq/8hc3aqwmETI3hWPHgUCT6M4Y/uc9TcKz7XZnzKbOu1xsDYj3SYjvNDxdSTRj+dFNvH1lxXZ9EwgA3Pyr5+GvfuU86BopTSKBkekKpss2TpeCAuRMfzHBxpmcolFC3QnmJlP3clZSuhZKhuyLZFwDtVVTq7FColaTEPdo2CfhNQsLSn9ofnRTVJMQ1/pkycJvf/MpaET41NXhKP9zTur195VPmyFz00JrEkpIcMaLVX+1IaIlLMfFsakyLMeLojg04TmPN/KIoGY0id4sFxJOvJC46rw16ErpgZCITMjD0xWs8jUJ7wbRqLbjVRwpXYPluvjWE/txxS2PoGy52NRgboRMUjLdwXHPpizKY0TNaTJi0iYK237lFb+I2hI+nyKf0ON8BbMhl0gQ+wI8TUKuhzNaqIKx2t4QgrRkVhKO65my7e9/TW8Wq3oyyidRB+G03sTLqQARIeFrErXnTw4SAIBodzqhSRi6l6+SzxihmlrygiUtmTZl4nwS4l7TNfKd33EVnEW2tUBUbYjTJIRf7tFdx/H84Sn8+TXnJJo5ve/qma4KFRsZc/YE3rlGCQnOeDH4keXuVWICBIBX+UUuVkLNConxogXHZUjpwhzjHY8IOG1FHn/5rnPx//38KQDC5ibbcTFaCOK0xfgGulINmV6EuWnPSAEZU8OPPv5WXH9RbU7BbIibtGw5+O5TB/2IEhHCKIrr+Y7rhBBY7/vVJhgB8JOfRKgvEDRvaUX7kYutAUEseaFqh+LKhYkrn5DBftEpg/il89ZgXX8WKd1LmNs9MoNzTuoJvU/XNBXdlMBu3hpYTt5sTpMIlz8Bgj7XQjAbGsHkPRnShlceoztjhLSDpO50ceYmIYyG8kGxR2ESnooICXlRJOq/FasOonkS4vhCaG6ZJVJP+CSmK/aCO60B5ZPwmShWscE3l4jJ0PXD8wDgVX6Rn7ayC3i+ece1mKiCVpjeD+5VjtTxrguCqiRyxrVY5YroCiGcGjE1AZ4jznJcTJdt9GbNUK2jZhA36QMvDuM/XxnBUD6NN5+xQsovCM6frpEfyicjbpCoViBWbMLctHl1N1L8Ji9anrkpqrY3gly2GQg0CZeFb3KRm5GPGTPg5ZP83fsuBBBoeYwhZEsGPHOH8knEs+vYDLrTRqhEvZwMKlb+cYERcsAHIPkkIuYmQyOYuobujAEiT0BE85mSzE2+4zpS4A8IC7O04Tmjp6QCgxPFasgHlzG9kiCTJQvvPG9N6Dhin68d95qcrZ4lUk+YmwoV2w/9XUiUJsEZL1T9CIi0tNKQE312D88ga+pY2+dNhs05roPJRwgJU/dWPNHELUByEluu3wq0VSFhaF5ZjumKlWhOaQRxk754xMt1PMZ7RhwYK4YqyaZ5Rdq4CCQhWJNWVyU/kzxIXCpVPbW9FXOTv2q0Raa1XA6hKj2ur0nIiN9G1whb1veFXlM+iWQOjBexYShcTHJlSJMIHNdRKlbYcS20hGh0k87raAkh0p0xa/J1glpH4eMIn0S0LAeAmqTVnky4BUBUkxAma5cBl5w+FD4+vyZfG5nBUD5VY46K0p0xUHVcjBWqDV2fc43SJOAl4kyVbclxHTY3iSJfRybLWNWT9ifDev2to8gXkHwRXnH2KrwhshoF4BeN8xyqIpEuEzpuIyU5xPFsh2G6bCeulBvaD58ch/mqW0yyoiieuPkv2jjgRzhFySRoEhkecTJZsjBVtn0hIepUtW5uEsIn7JMAvBalIulJCIk47SeK0CTOPamnxomufBLJVCy3JrdoRT5YRQtNIs4nUXXc0LVLROjLpXB00vvdbMflXSUJpk6+Y3tFd7pmgo+aIAWW7/yuFRIiaETQmzV9xzVjDKOFasi8Kq67rKnjgvXhDgritemyjY1rw5UD4hDf+8hkOVS+fqFQQgKBA6q/xifhmZvOWtODZw9OwHIYejKmLyRmKxMuIwuJtHQR3vKeLYmfEc1tjkU0ia5mzU16YG5qpGpsEppGoextMbF6HeECE9a2n9uYuA/f3GTEm5uEDygQEgYKfnRT6z4JP7pJ0iTKlos1vRkcmSz7Aq+RlZpY+cUJd13TwBjguixUgFDBG/pETIY9WcNLTnTcWX0Sg13hz16wvg/b93k5FnLOw2VnrfKDSz7/ni2hRRkgLxzifRIhTSLG3OSNO6jg/NT+cUwULVwoCQNxjItOGag5vmymbiQpVAiJY5NlbBxszVTcDsrcBCnbuisIgQU8E8XBcW8CFJNWb9bE5tXdePfWdfi50wcbPkaSJlGPNK9GKzSJQIPhQqKBRkEALxXuMkyVrVDERyvIqvHxmQoYY3WT0KL45qZoghE/J6Kfg9CSsqbuq/Wt+CSi9udi1Q71pBbao6if04imJX6/rTFCwuD2bEv5JWqoOm4ocgjwNIKhvJdjIq6NWCEREyV08SkD2DdaxNHJcqgPxP9859l+La+TB3JY1ROeiJtxXPflUjhlqKvGudyTMXxN4rtPHULG1PCOc1f7r4tr9ecjpiYgbKY+qW/2Mv1dkv+lHUtAqyhNAkGntKi5aaZs48hkCev6s1jRncaRyTJ6eOepz153flPHaElI8LpDw9MVDHalpAbtwtzUuJAAPL9LuxdZytAAbz7F8Rkvd2S6YjfU/hRI1iQMHtu+57gXHDAk+V/GeDZ8a7kdtXkSK7rTvtNRaI8iuqmRRKWLNg7gXResxaWbaicAsZpVfolaqna4V4NgRXca02XbFyBJ5qbofXPxKd4i7fE9o3Bct+Eky6T+C9UYx3XK0PDQx95Ss4/erIndIzOo2i7uefYIfvHs1aF7SzTfuvSM2mtEvvYb0SRk7b+rA0JCaRII120Cgh/xteMFuMwL7VwhaRKtIEdYRFdTSaR5B7ThqUpI3d0w6Gk2567tqfPpAHHRT/CEn3YQDmeNvJozYuUvtxCthxDAUU1C7OPVES/iQ664GTQpat1xLdduks+luJmF6ayRRKXVvRnc8p4tsTesSLRUfolaLMeFGbNAWtGdRial+wKkkWQ6ADj7pB50pw08vmcMlstCk3s9xP2d5JNo5P7syZqYKtl4+OVhTJYsvOvCtaHXrzh7Fe7+nUv8rGkZTSP/u6xpQJOQhY9yXHeIvpyJy89a6aulIm1/F6+ptG4gK2VbtnbKWtEkUoaXtTkyExYSq3oy2P4niRXcaxA3H2PtX2Ri7Get6cHRyTL28kKDGxssOR5EN9VOxt/76CX47lOHsG+06Df8yaV0jBZq+080iqkTNPLsz67LULSckAYmcmOOz1S9An1tJioJIeGoXIkaqo4b8scJfu60IeRShj/Jx1WCjYbAAp7WtnVjPx5/bRRbNww0rUnUZFzbtVVgk+jNmpguW3hizxhShlZjVjJ1rabnSXQMFdttzCch3bP5FmqutYsSEvAckLITUkxgL3MhsWGwq6a4V7NkTN3vs9DIRQiIDlgujk9XcFoTfR+iyMdrJwQWCDSJN2wcwO0/2esnGG4YaFBI+NFNteegO2PWOL2zvFUoUGuiagQiCmW/MoZYTcLrH96Y+a4eOj/XSpOoxbJZ7LUvEkh3Hprk74vXJOIWV284ZQAPvTyCjYNdMLTGNXQAoXa5gBTd1MAiridjwmWe0/r0FfmG72lBztQxAasxc1OHNQllbopBmDVeOTqNlKFhTU/GX3020mgoCSFgGvdJeDWkRguVhp3UcaRCQqJ9TWKwK4XTVnSBMeDpAxNY3ZNpOLEwV0eTiEMOM442uW+UrOk1gBEZ1nGaBNBY+OtsGMonkYhnbkpe7Zt1BGyc4xqA3+d831jRDxqYDSLi10R8nkQjZitxLz93aBJnru6e5d21ZFI6iFDjVI8jpEkon8TiQKxyC1UH6wdy0DSqqQDZCsJUFVWbk0gbGsaLVZQtt634aPnmaXci7E6bOH1l3p9on9o3jo1DjYflZepoEnHIkSCtaBLimKWq6/e6luPm+6VEq7lYpQmTR1JfhOWMVwE5+TcUk3P03NmOC5fFL65W8ZX4ofGSL6AbIWNqiSGwZgMaSZD4x3DGquaFRNbUsbI73ZAGkjV1iK+mopsWCbKDVMQli+J6cX2bG6UVTeIwLyrYaCRTHHNpbvr0u86FRuSHjM5U7KZaoAqNo1EndEhItOCTADwnedl2UKgGnb1EUEA+Y/gJcHNxA4qJTmkStVQb1CSiZTlE0EHc4mo1X4mXLKcpk4+orSRj8YS8RvJb5FDyM1c3XyyzK200vFgkInSlDS8ZVjmuFwemrvkTxwauzl5wcj8+/a5z8QtnxvcbaARfSDQc3aT75YEHG8yujiNUsKzNi0yUEJGnwI2DTQiJSIvTWd8vCYlWemCIY5arQdXXXNpAV9pAxfac1RnTO89zISR0Tfkk4mCMxeZJyIjFUzQEtlpHSKzo9hr0MIbm+oyk4oREvM8kDtmi0IomcdNVZzX1/m4uJE64EFgiGiCi+4hoF//fn/C+e4logojuiWz/GhHt4a1LnyGiLXw7EdEXiGg3ET1LRBe2M85WECtdoUloGuF9F29o2JYeRyuahKAdTSIlrd7a9UkI5JIgG1oQEo3mPMhZ7e2Ym8q242dbd6V0X0PJpoLOYXOxSlM+iXgcl4Gx+gskI8FUJzSJVMzvb+qaf280E5mWNXW/6KPACyppTNCIe7krpfuReM1w/sl9DfdpB4Jrcy78Zs3Srk/iRgAPMMY2AXiAP4/jcwDen/DaHzHGtvC/Z/i2KwFs4n8fAfClNsfZNGLiaGYCnI2eZoWEOTdCQo76mCshkZfU5WbNTX/1K+fh2gvWzv5mhBs7tZIn4X3Oq8/kaxIpA12poNm8EPxzcQPqfp6E8knINBI5ZPqaRMShXEeTAAJTcHM+iXhzU6P3priXz1jd3XAr3XYQWu6JGN10DYDb+ePbAVwb9ybG2AMAppvc7z8yj58C6COiNbN9aC4RE9KGOayV0rwmEUyKjTQXSiLkk5ijevReOQXv5mz2HL33ovVNl/EAWvdJZE2vkqyvSaR1v7tfxpwfTUL1lAgjJvq65qaEjGvRLjfpvhF+iWaERNbU8fLRGfzzz/b7QslyGg9P704bIALObMHU1Ap57gM54cxNAFYxxo7wx0cBrGphH5/mJqVbiEgsl9cCOCC95yDfVgMRfYSIthPR9pGRkRYOH0/G1GFo1JIqmcQbTx3EpZuG/FXsbMgd3hoVLHEIc5OhUcsTbRxD3Wms6c20vMJvhLDjurXjpP0Q2ECTEPvNpXR/v3PR0MVoIE/ixSNTyy76yQ8vradJJGRc13NcA0EYaaMhsADw6xevR3fGwMf/9Tn88XeeheuypnwSmkb4s6vPqVvMci4RfSQanTvmklmPSET3A1gd89JN8hPGGCOiZpdPn4AnXFIAbgXwcQB/3swOGGO38s9i69atc7Z8y5ga1vVn57RV4CWnD9XUlq+HuCnacVoDwc2X541Y5orLNq/0HevzhdAkiBp3dkfJGJ7jWvS3zqV034wlHNfAwvgkjs9U8EtfeBS3vGcLrtnSmMltKeBXWK0zkeualx2f7JOYTZNo/Pq46rw1uPLc1fi7h3bjf//HK1jXn42tD1WPD7xpY8PvbZd82lvYNOOcnytmvSsYY4n1H4joGBGtYYwd4eag4WYOLmkhFSL6KoCP8eeHAJwsvXUd37ZgbFrZ3ZT6Oh+I4nTt+COAQEjMlT9C8HuXbZrT/cUhJvNou9NmyKY0lG0XRS7Qsqbul4CWHdcL4ZMYnanWdMWL41N3P493nLsabzy18UrDi5nqLBO9wORlw2WEuSkpaETkSjR7vxIRPvrW07F93zi+98whnLW6p+nM6YXiynPXYKCr/YoArdDuXXE3gG0APsP/39XMhyUBQ/D8GTul/f4OEX0bwMUAJiWBsiDc8p4tYKyzdmWxcm60uVASImJjrvwRC0mz0VBxZAyvLEeh6iCX0qFphFw6ED4iamouQmBn0ySmeXnpuEqngqrt4ms/3ouUoS0ZIRFXhjsO0Y9dxndcJ5hKV7dgbhIQEU4Z6sKTe8c9x3UL+1gI3rp5Jd66eWVHjt3uXfEZAP9CRB8CsA/AuwGAiLYCuIEx9mH+/FEAmwHkiegggA8xxv4dwDeJaAUAAvAMgBv4fn8A4CoAuwEUAXywzXG2xEJELdQj5QuJudEkOhEZ0S65JpPv4sjymPiJYtBPY0U+jaF8yq/tBMxtxnWST2KalyivFyI7UfIKGkYzgk9kqg0LCUo2NyV8dlUL5iaZ/lwK0xUbhWpzCXnLhbbuCsbYKIDLYrZvB/Bh6fmlCZ9/W8J2BuCj7YxtKeD7JNpUM8WF32oF207SbIZ2HBlTB2PAqyMzfknzj7z5VFz3+nUAghXq3GRce/sqVhx88q6d+G+XnxGKTBONauo1JZrgpeujIZonMs2Ym6KmOiEkkoIu2tEkgKDZ2Mh0xd+XIkCJzUWMsMHOmeO6A+Fz7TIXmoQQtq8cm/bzXrrShh+GK/Y9Fz4boUk8e3ACt/9kH/7zlbCbTmgS9UJkx3lp9KUkJBrt1WDqGqoJ5qakuk89WQMZU2vZqTvA63cdmyo3VAF2uXHizRrLiPScmZu4T6LNuk2dQPgL2gndFdpIsepgQ0x+xnz4JIQ2IGpvCXwhUcfcJJpgRTOCT2SCrm/1f8eUocWYm7jjOuEaICJcff5JeP2G2IIPsyKajRWrzqL1SXQSJSQWMWJSb6TmfD3mK7ppIdA0r6xzqyU5gHA5j/UxiX9zmUwnVrPCr3B0MiwkZiqeALDr5EmIdrpLS5No1NxU65OYLeMaQNPthGX6JXOg8knUcuLNGsuIN502iK998A143bretvaTNjQM5VNNlc9YTOSkMNVWkE1VcWVWrjh7FSzHbasul0A4Tyd5iOuRyVLo9WY0iaXpuK6/Uje0OE2iMQHTKgNKSNRFCYlFj
... 226 more lines ...
Attachment 3: scan_charge_phase.csv
,phaseRF,Ch0_Amp,Ch0_Q,Ch0_Q_integrate
0,0.0,2.432374966144562,-0.14132937416434288,-3.3059886693954468
1,2.0,2.4857499837875365,-0.12169499881565571,-3.680608630180359
2,4.0,2.4705000281333924,-0.11180156152695417,-3.293094301223755
3,6.0,2.394249975681305,-0.15227125063538552,-3.2094500422477723
4,8.0,2.3484999775886535,-0.14182500019669533,-3.682776665687561
5,10.0,2.2112499594688417,-0.1303493745625019,-3.281777262687683
6,12.0,2.4171249985694887,-0.14598062597215175,-3.230061209201813
7,14.0,2.340874981880188,-0.12316281199455262,-3.165648567676544
8,16.0,2.3103749632835386,-0.1385081261396408,-2.423606014251709
9,18.0,2.4933749556541445,-0.10484374957159162,-2.961382877826691
10,20.0,2.584874987602234,-0.111267813667655,-3.310334098339081
11,22.0,2.424749970436096,-0.10547281373001169,-3.454663038253784
12,24.0,2.4476250052452087,-0.10955218728631735,-3.9498404264450073
13,26.0,2.6916250467300413,-0.08667718630749732,-3.5692740201950075
14,28.0,2.531499981880188,-0.10450062490999698,-3.043243479728699
15,30.0,2.4399999737739564,-0.12487843669950963,-3.45466548204422
16,32.0,2.1959999799728394,-0.12787125073373318,-3.353472089767456
17,34.0,2.386625051498413,-0.15019343942403793,-3.563729876279831
18,36.0,2.394249975681305,-0.09649437493644655,-2.6489030599594114
19,38.0,2.562000000476837,-0.11525187306106091,-4.319384622573852
20,40.0,2.424749970436096,-0.13675437681376934,-3.6834739685058593
21,42.0,2.3484999775886535,-0.12720406278967858,-3.3274911880493163
22,44.0,2.5162500023841856,-0.13359000030905008,-3.2864468097686768
23,46.0,2.516249966621399,-0.11058156378567219,-3.6966060400009155
24,48.0,2.378999984264374,-0.11098187528550625,-3.2852214097976686
25,50.0,2.218874979019165,-0.1583521854132414,-4.030306673049926
26,52.0,2.249374973773956,-0.14169156238203867,-3.862242317199707
27,54.0,2.5238750100135805,-0.1268037497997284,-3.840145301818848
28,56.0,2.1959999680519102,-0.10718843676149845,-3.4017024636268616
29,58.0,2.394249963760376,-0.140700314193964,-3.400855016708374
30,60.0,2.188375008106232,-0.12438281141221523,-3.003235936164856
31,62.0,2.3637499809265137,-0.09466437473893166,-3.9015416622161867
32,64.0,2.325624978542328,-0.1206846875604242,-3.1713843822479246
33,66.0,2.4704999804496763,-0.11485156174749137,-3.4757084369659426
34,68.0,2.4552500367164614,-0.09403531081043184,-3.452091407775879
35,70.0,2.3866249918937683,-0.11881656050682068,-2.960537004470825
36,72.0,2.5009999871253967,-0.09420687668025493,-3.066974139213562
37,74.0,2.3103749632835386,-0.15905750021338463,-3.1714060306549072
38,76.0,2.2798749566078187,-0.1333993762731552,-3.648571085929871
39,78.0,2.3713749647140503,-0.1329990640282631,-3.6346938610076904
40,80.0,2.3332499861717224,-0.09843875132501126,-2.8442323207855225
41,82.0,2.409499990940094,-0.12560281120240688,-3.3279038310050963
42,84.0,2.653499960899353,-0.11433687433600426,-3.2180858612060548
43,86.0,2.2646249651908876,-0.1100478108972311,-3.2106889605522158
44,88.0,2.4704999804496763,-0.09910593833774328,-2.6611793398857118
45,90.0,2.3103749632835386,-0.11748218797147274,-3.6973061084747316
46,92.0,2.6916249871253966,-0.11117249820381403,-3.409600019454956
47,94.0,2.661124956607819,-0.0901656235102564,-3.090595579147339
48,96.0,2.6001249670982363,-0.09521718667820096,-3.5533018350601195
49,98.0,2.3866250038146974,-0.1448940619826317,-4.1083073854446415
50,100.0,2.3103749752044678,-0.1349243752192706,-3.4711987376213074
51,102.0,2.302749955654144,-0.1511656219139695,-3.6195746660232544
52,104.0,2.302749955654144,-0.14096718952059745,-3.5124253749847414
53,106.0,2.272249972820282,-0.1297393746674061,-3.1238035440444945
54,108.0,2.630624997615814,-0.09420687453821301,-3.497559070587158
55,110.0,2.356124985218048,-0.13677343807648867,-3.4481023788452148
56,112.0,2.5238750100135805,-0.11588093787431716,-3.4577960729599
57,114.0,2.630625009536743,-0.12426843801513314,-4.097239542007446
58,116.0,2.5238749861717222,-0.0975618738681078,-2.949714457988739
59,118.0,2.462875008583069,-0.11075312662869692,-3.428397572040558
60,120.0,2.3484999775886535,-0.14796312674880027,-3.2937700510025025
61,122.0,2.4323750257492067,-0.10465312460437418,-3.008050501346588
62,124.0,2.493374991416931,-0.12127562388777732,-3.820243716239929
63,126.0,2.5924999594688414,-0.10453874766826629,-3.684845733642578
64,128.0,2.249375009536743,-0.1407384380698204,-3.758065390586853
65,130.0,2.4476250052452087,-0.14134843721985818,-3.2333295941352844
66,132.0,2.340874993801117,-0.1250500014051795,-3.647743582725525
67,134.0,2.3484999895095826,-0.12623187452554702,-3.4102582931518555
68,136.0,2.4476249694824217,-0.16056343764066697,-3.4846846580505373
69,138.0,2.3866249680519105,-0.12026531137526035,-3.077518916130066
70,140.0,2.3103749990463256,-0.1302921861410141,-3.2496316909790037
71,142.0,2.516249978542328,-0.12323906347155571,-2.5930968135595323
72,144.0,2.462874948978424,-0.11475624833256007,-3.4832748889923097
73,146.0,2.546749973297119,-0.1145084367133677,-4.073277872800827
74,148.0,2.150249969959259,-0.12607937306165695,-3.5891227960586547
75,150.0,2.516249978542328,-0.11494687423110009,-3.2751309156417845
76,152.0,2.1959999799728394,-0.11904531344771385,-2.155209869146347
77,154.0,2.5391249656677246,-0.10547281168401242,-3.8343400239944456
78,156.0,2.5772499561309816,-0.1249165611807257,-3.699021005630493
79,158.0,2.356124985218048,-0.16487156115472318,-3.4969170331954955
80,160.0,2.0511249899864197,-0.15419656299054624,-2.994235944747925
81,162.0,2.4018749833106994,-0.12268624831922352,-3.4781320452690125
82,164.0,2.2417500019073486,-0.154406251385808,-3.796803665161133
83,166.0,2.493374991416931,-0.11721531208604574,-2.858898711204529
84,168.0,2.6230000138282774,-0.15869531445205212,-3.3839900493621826
85,170.0,2.409499990940094,-0.13195062465965748,-3.707832956314087
86,172.0,2.3103749752044678,-0.12108500087633729,-3.767729651927948
87,174.0,2.5238749504089357,-0.12560281120240688,-3.046552389860153
88,176.0,2.394249975681305,-0.10806531235575675,-3.4358853101730347
89,178.0,2.546749973297119,-0.08463750029914081,-3.2596112906932833
90,180.0,2.356124985218048,-0.1337615607306361,-3.1386509418487547
91,182.0,2.5772499799728394,-0.09022281020879745,-3.6908722162246703
92,184.0,2.3103749632835386,-0.13948031142354012,-3.6132244229316712
93,186.0,2.356124997138977,-0.1332849994301796,-3.4524471521377564
94,188.0,2.6839999675750734,-0.08263593902520369,-3.3563197255134583
95,190.0,2.1959999680519102,-0.1313787505030632,-3.8833257436752318
96,192.0,2.4399999737739564,-0.09397812498500571,-4.549286246299744
97,194.0,2.394249975681305,-0.18347656354308128,-7.314897871017456
98,196.0,2.356125009059906,-0.15585500076413156,-10.519153308868407
99,198.0,2.462874984741211,-0.1688937485218048,-12.642137718200683
100,200.0,2.4399999737739564,-0.19098718762397765,-13.805939483642579
101,202.0,2.8822500705718994,-0.17665218971669674,-14.543323993682861
102,204.0,2.4704999923706055,-0.15141343846917152,-14.890755939483643
103,206.0,2.2951250195503237,-0.23117093592882157,-16.517198753356933
104,208.0,2.340874993801117,-0.20236749872565268,-16.200501441955566
105,210.0,2.4857499957084657,-0.16889374926686287,-15.362314891815185
106,212.0,2.4018749833106994,-0.2137096829712391,-17.198324584960936
107,214.0,2.615375018119812,-0.17262999676167964,-17.509155654907225
108,216.0,2.5238749504089357,-0.15288125295192004,-17.67822895050049
109,218.0,2.478125,-0.1911015622317791,-17.878031063079835
110,220.0,2.516250026226044,-0.2028250016272068,-17.59824228286743
111,222.0,2.394249975681305,-0.17602312415838242,-17.881529998779296
112,224.0,2.3332499861717224,-0.18164656385779382,-18.409128189086914
113,226.0,2.622999978065491,-0.2074381247162819,-17.972641944885254
114,228.0,2.409499979019165,-0.1905106246471405,-19.204792404174803
115,230.0,2.409499967098236,-0.23429718762636184,-19.319877433776856
116,232.0,2.2951249480247498,-0.20831499844789506,-18.87042369842529
117,234.0,2.4857499957084657,-0.20394968539476394,-19.111631011962892
118,236.0,2.3103749752044678,-0.24535343497991563,-20.229006195068358
119,238.0,2.5009999752044676,-0.2075715631246567,-20.327695655822755
120,240.0,2.2264999747276306,-0.2643015593290329,-19.591102600097656
121,242.0,2.4171249628067017,-0.18189437463879585,-20.904614067077638
122,244.0,2.455250012874603,-0.2053603120148182,-20.85747833251953
123,246.0,2.4171249747276304,-0.2057034395635128,-20.536462211608885
124,248.0,2.3789999961853026,-0.19952718839049338,-21.085264205932617
125,250.0,2.462874972820282,-0.22162062488496304,-20.343450355529786
126,252.0,2.5391249656677246,-0.21475812792778015,-22.193184280395506
127,254.0,2.165500009059906,-0.25604749768972396,-21.984009552001954
128,256.0,2.310374987125397,-0.23700406402349472,-21.12953624725342
129,258.0,2.4552500009536744,-0.2074190616607666,-21.430419540405275
130,260.0,2.2569999933242797,-0.21041187644004822,-22.332504081726075
131,262.0,2.4171249628067017,-0.20768593847751618,-22.398515892028808
132,264.0,2.5238749742507935,-0.25105312615633013,-22.029957389831544
133,266.0,2.3713749647140503,-0.22590968981385232,-22.263228797912596
134,268.0,2.325625002384186,-0.20547468662261964,-21.99167137145996
135,270.0,2.569624924659729,-0.1946662500500679,-22.498907852172852
136,272.0,2.546749997138977,-0.19548593759536742,-22.33080921173096
137,274.0,2.3103749632835386,-0.2240224987268448,-21.694095802307128
138,276.0,2.4323749780654906,-0.23261968791484833,-22.474588203430176
139,278.0,2.516249990463257,-0.17924468889832496,-21.446506881713866
140,280.0,2.440000033378601,-0.2071903109550476,-21.648861503601076
141,282.0,2.3179999589920044,-0.2162640631198883,-22.15986156463623
142,284.0,2.2341249704360964,-0.19483781158924102,-15.837442874908447
143,286.0,2.409499967098236,-0.1360109381377697,-9.426653861999512
144,288.0,2.2264999866485597,-0.1269181246869266,-6.405115985870362
145,290.0,2.462874960899353,-0.1244590625166893,-7.285032176971436
146,292.0,2.3561249732971192,-0.12581250052899123,-6.110213088989258
147,294.0,2.3637500047683715,-0.14159625247120858,-3.7237040162086488
148,296.0,2.531499993801117,-0.10450062570162118,-5.154155540466308
149,298.0,2.3103750109672547,-0.16855062283575534,-10.717802286148071
150,300.0,2.4781249523162843,-0.19889812767505646,-16.340099906921388
151,302.0,2.2646249890327455,-0.21792250275611877,-13.378748798370362
152,304.0,2.2875000119209288,-0.1772812522947788,-7.498450422286988
153,306.0,2.2493749976158144,-0.1278712496161461,-4.312090563774109
154,308.0,2.5391249895095824,-0.08286468777805567,-3.5949758529663085
155,310.0,2.462874960899353,-0.10913281193934381,-3.4422858715057374
156,312.0,2.356125020980835,-0.13698312528431417,-3.4122382283210753
157,314.0,2.256999969482422,-0.1429496867582202,-3.8677663803100586
158,316.0,2.2112499594688417,-0.15692249983549117,-3.6644744992256166
159,318.0,2.6458750009536742,-0.07436281195841729,-3.4295132398605346
160,320.0,2.3484999895095826,-0.13768843822181226,-3.534599232673645
161,322.0,2.5772499561309816,-0.11155375111848116,-3.053066688776016
162,324.0,2.2951249957084654,-0.1371546871960163,-3.053215301036835
163,326.0,2.462874984741211,-0.11772999931126833,-3.681009316444397
164,328.0,2.5009999871253967,-0.09855312686413527,-3.3727637767791747
165,330.0,2.394249987602234,-0.11159187518060207,-3.490196645259857
166,332.0,2.317999982833862,-0.14994562417268753,-2.9060793280601502
167,334.0,2.34087495803833,-0.1504412494599819,-3.271766257286072
168,336.0,2.5619999527931214,-0.15206156373023988,-4.054913985729217
169,338.0,2.256999981403351,-0.17110500037670134,-2.7601962208747866
170,340.0,2.4857499837875365,-0.1094378124922514,-3.4316071271896362
171,342.0,2.302750027179718,-0.1146037507802248,-4.112487101554871
172,344.0,2.424749970436096,-0.1084846869111061,-3.143459844589233
173,346.0,2.2417499899864195,-0.13877499997615814,-3.520589065551758
174,348.0,2.615374982357025,-0.1232962492853403,-2.9084097146987915
175,350.0,2.3332499980926515,-0.07632625084370374,-2.9978822112083434
176,352.0,2.5009999752044676,-0.1271278142929077,-3.3945486307144166
177,354.0,2.4552500009536744,-0.1499265618622303,-3.3152416467666628
178,356.0,2.0892499923706054,-0.1414056226843968,-3.903228259086609
179,358.0,2.234125006198883,-0.137364374473691,-3.398469066619873
180,360.0,2.4476249694824217,-0.11603343784809113,-3.7095792293548584
181,362.0,2.3637499690055845,-0.09948718656087294,-3.525937044620514
182,364.0,2.432374966144562,-0.1400331251323223,-3.8510205507278443
183,366.0,2.27224999666214,-0.13448593821376562,-3.9499335050582887
184,368.0,2.6153749942779543,-0.09005124988034367,-3.905172824859619
185,370.0,2.56199996471405,-0.12093249969184398,-4.461093306541443
186,372.0,2.6001250028610228,-0.10941875018179417,-2.6085856556892395
187,374.0,2.302749991416931,-0.14596156105399133,-3.8135508060455323
188,376.0,2.44762499332428,-0.13299906253814697,-3.1677290201187134
189,378.0,2.317999982833862,-0.13109281221404673,-3.902858829498291
190,380.0,2.287499988079071,-0.11466093761846423,-3.2970987796783446
191,382.0,2.615374982357025,-0.10364281293004751,-2.9731817126274107
192,384.0,2.4018749952316285,-0.1304065603762865,-3.317840504646301
193,386.0,2.4628749966621397,-0.0903562511317432,-3.361685836315155
194,388.0,2.340874981880188,-0.12499281112104654,-3.9997914314270018
195,390.0,2.3637500047683715,-0.15200437642633916,-3.320832058787346
196,392.0,2.600124955177307,-0.12451624907553197,-2.6585623741149904
197,394.0,2.508624994754791,-0.12158062364906072,-3.1584481596946716
198,396.0,2.5238749623298644,-0.12331531159579753,-3.137743926048279
199,398.0,2.5009999871253967,-0.09210999965434893,-3.4122966527938843
200,400.0,2.150249969959259,-0.12716593593358994,-3.0701631247997283
  94   Wed Oct 6 20:10:42 2021 Entered by Hayg Guler from 134.158.195.141 on Wed Oct 6 20:10:28 2021Under ProcessLinacDiag | Linac Commissionning ICT : Signaux avant et apres la section icon6.gif 

Le faisceau a passé la section :

  • Bleu : avant section
  • Rouge : apres section

 

Attachment 1: ICT_LI_et_TL_3200.png
ICT_LI_et_TL_3200.png
Attachment 2: ICT_LI_et_TL_400.png
ICT_LI_et_TL_400.png
ELOG V3.1.4-395e101