10h10 modulateur ON , laser ON
Le client 5 est éteint (avec les ds calc) !!!! (rallumé à 11H)
14h50 reprise : phase Qmax = 251
(0) alignement canon/laser
OK position Iris H 5.9mm V 3.7 => cmd sur ThomX photocathode 5.9 3.53
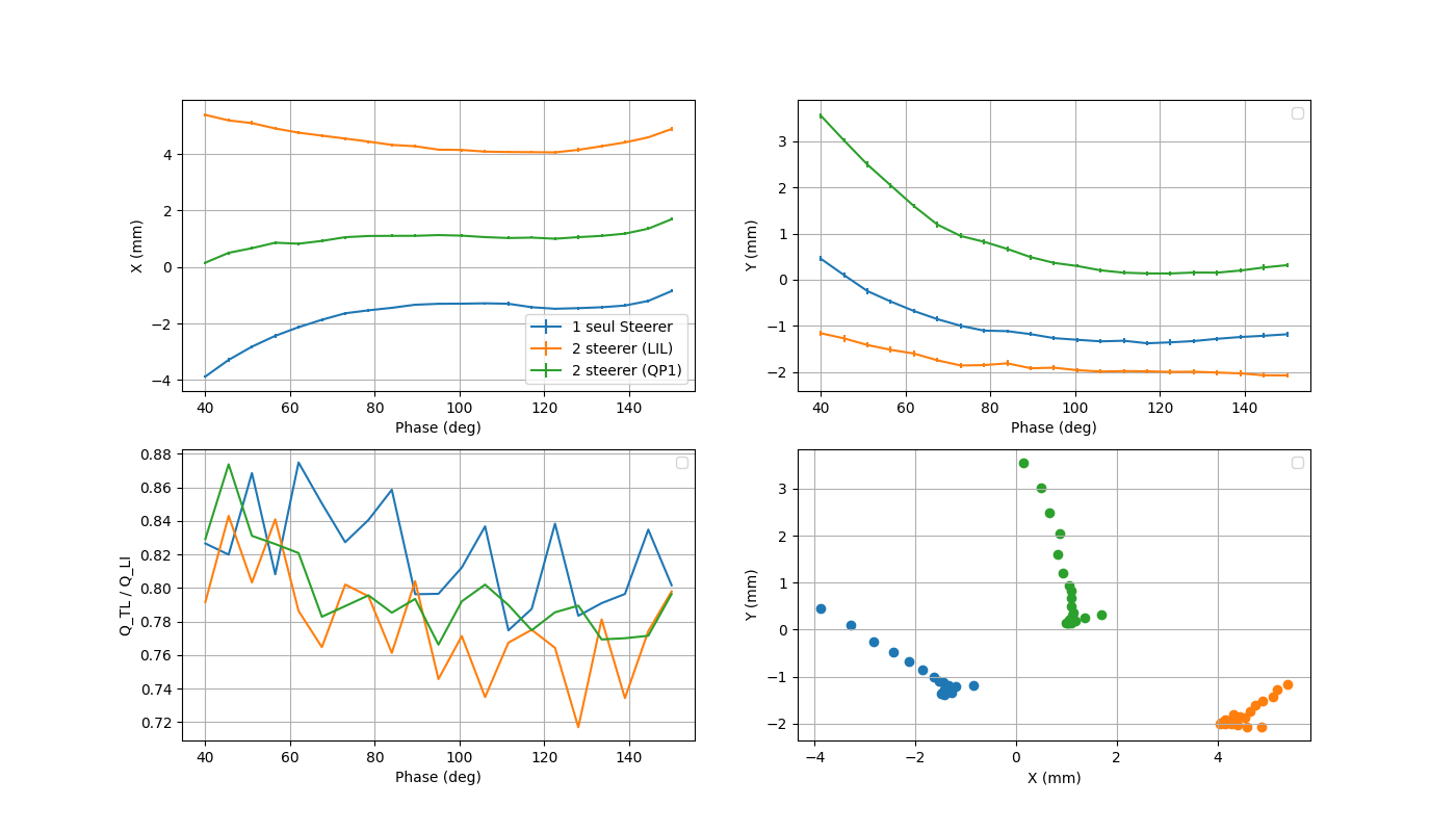
(1) Vérifier l'axe magnétique de la section (Steerer 1 et 2)
Steerers : LI STR-01-H -1.75 -V 0 STR-02-H 0.93 -V 0 --> Meilleur comportement en fonction de la phase de la section (courbe orange)

(2) Alignement dans QP1 avec ST2
Steerers : LI STR-01-H -1.75 -V 0 STR-02-H 0.33 -V 0.38 --> Courbe verte
Remarque : courbe bleu, uniquement en utilisant le steerer1 pour passer dans les quads, voir shifts précédents
(3) Alignement dans QP3 avec ST3
ST3 : H -7A
V 0A
Les 3 quands (QP1, 2, et 3) sont bien aligné avec ces valeurs ST1, 2, 3
(4) Mesure énergie, minimisation de la dispersion (phase section)
On allume me dipole : 157 A
Dispersion en energie minimum pour 109° section
Image sur Yag3 tout de suite présente sans QP4,

On allume QP4 : Allignement horizontal sans rien faire. Petit désalignement vertical.
Valeurs Yag3:
0A : X:14.2, Y : 10.7
-2A : X: 15 Y : 9.4
+2A : X :15.1 Y : 11.9
Note : les valeurs en X avaient un gros jitter.
(5)
Ensuite Yag 4: rien pas de faisceau.
ST2 de la TL à -10 en Vertival pour voir le faisceau sur Yag4. impossible d'alligner QP5. (car steerer déjà presque à max)
(6) : on reprend les valeurs STR1 et 2 axe mag LIL
QP1 : -2.6 QP3 : -2.6 QP2 : 4
Dipole : 154.4
Faisceau sur YAG3 avec QP4 = 0
On essaye d'alligner QP4 avec le dipole mais on y arrive pas. A toi de jouer Kevin.
|