demarrage modulateur 10H30
2 disjonctions lors du passage de HV a TRIG a 1000 v
Charge max @ 130°

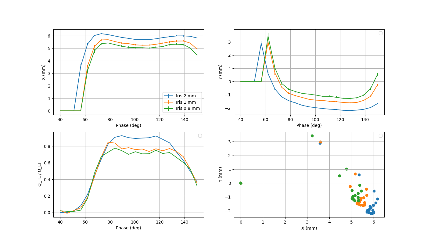
Transport Linac TL/SST1 : transmission en fonction de la charge (à plusieurs ouvertures d'iris) sans steerer.

Prise de données pour Emmanuel 1h (nb : attention les axes de TLSST1 sont inversés pour cette prise de données)
Nous avons toujours le même problème d'atténuation de la charge pour un réglage du laser qui correspond à l'axe electromag. Augmentation de la charge quand on se décale.
Phase charge max 126 degrés, on se décale de 50 degrés, solénoide à 180 A, 76 pC iris de 1, image laser enregistrée à 18h
solenoide 189, phase section 113, charge 76 pC, str&1H -0.9, 1V +1
quad scan QP1 -1.6, QP2 2.2 --> dim quad scan 180A
coil2 195A, QP1=1, QP2=-4 --> dim quad scan 195
coil2 194A, QP1=+1.6, QP2=-4.2 --> dim quad scan 194 --> 4.8 / 2.7
mesure énergie steerer 49.75 MeV, phase section 113°
Arret 20h45
|