HOME Prise de donnees MML Controle commande Simulations Notes Hardware Ligne X Laser Interaction Diagnostiques Synchronisation
Commissionning Commissionning Preparation Pannes ShiftCheck
  Toutes les notes concernant les Commissionning de ThomX  Not logged in ThomX    logo
Message ID: 184     Entry time: Thu Nov 25 11:19:26 2021
 Author: Entered by Super Team from 134.158.195.142 on Thu Nov 25 11:19:08 2021 
 Status: Fixed 
 Type: Linac 
 Category: Linac Commissionning 
 Important:
 Subject: Mesure energie  
 Icon:  

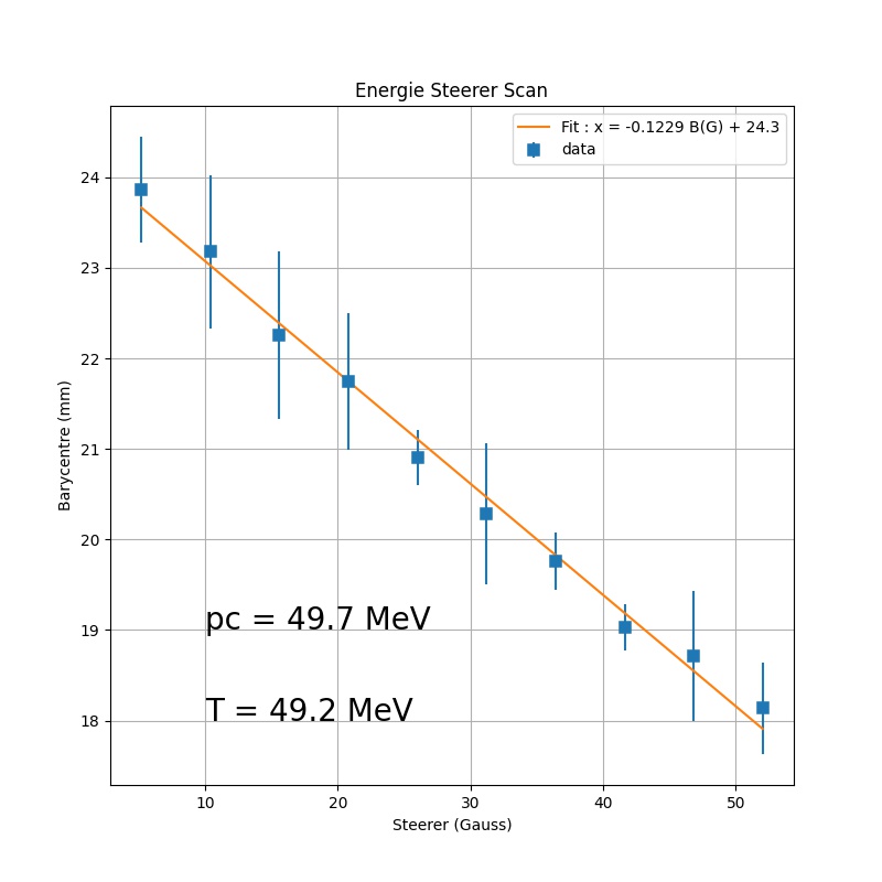
Energie avec 2 dB section, 100 pC transport ok

Attachment 1: scan_energiedeg_GUN_0.dB_LIL_2.0dB_LIL_phase_100deg_ROI__at_25-11-2021__11-14-44.jpg  73 kB  | Hide | Hide all
scan_energiedeg_GUN_0.dB_LIL_2.0dB_LIL_phase_100deg_ROI__at_25-11-2021__11-14-44.jpg
ELOG V3.1.4-395e101